The Normal Distribution was introduced by the French Mathematician Abraham De Moivre in 1733. Demoivre, who used this distribution to approximate probabilities connected with coin tossing, called if the exponential bell-shaped curve.
NORMAL DISTRIBUTIONS
The
Normal Distribution was introduced by the French Mathematician Abraham De
Moivre in 1733. Demoivre, who used this distribution to approximate
probabilities connected with coin tossing, called if the exponential
bell-shaped curve.
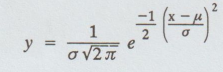
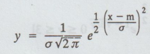
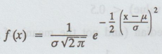
A
normal distribution is a continuous distribution given by

where
X is a continuous normal variate distributed with density function
with mean μ and standard deviation σ
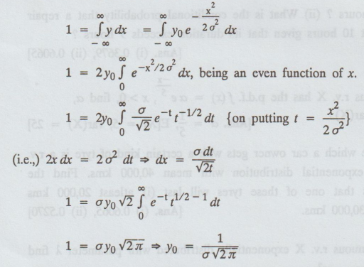
Let the equation of the normal curve be

It
will be a normal probability curve if

In
the above derivation, mean has been taken at the origin, but if however another
point is taken as the origin such that the excess of the mean over the
arbitrary origin is 'm', then
is the standard form of the normal curve with origin at (m, 0).
3. Area under the normal curve is unity

The diagram of a normal distribution is given below. It is called normal curve. It suggests several important properties of the normal distribution.

1.
The normal distribution is a symmetrical distribution and the graph of the
normal distribution is bell shaped.
2.
The curve has a single peak point (i.e.,) the distribution is unimodal.
3.
The mean of the normal distribution lies at the centre of normal curve.
4.
Because of the symmetry of the normal curve, the median and mode are also at
the centre of the normal curve. Hence in a normal distribution the mean, median
and mode coincide.
5.
The tails of the normal distribution extend indefinitely and never touch the
horizontal axes. That is, we say that the normal curve approaches
asymptotically on either side of its horizontal axes.
6.
The normal distribution is a two parameter probability distribution. The
parameters mean and standard deviation (u, o) completely determine the
distribution.
7.
Area property: In a normal distrbution, about 67% of the observations
will
lie between mean ± S.D (i.e., μ ± σ). About 95% of the observations
will
lie between mean ± 2 S.D (μ ± 2σ). About 99% of the observations
will
lie between mean ± 3 S.D (i.e., μ ± 3σ).
If
X is a normally distributed random variable μ and σ are respectively its mean
and standard deviation, then Z = X - μ /σ is called standard normal random
variable.

Special
table called table of areas under normal curve is available to determine
probabilities that the random variable lies in a given range of values of the
variables. Using the table, we can determine the probability for X, taking a
value less than x (X < x) and also for a given probability we determine the
value x such that X < x.
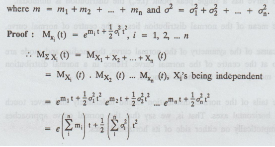
7. The additive property of Normal Distribution
If
X1, X2, ... Xn are independent normal variates
with parameters
(m1,
σ1), (m2, σ2) (mn, σn)
respectively, then X1 + X2 +...+ Xn is also a
normal variate with parameter (m, σ),

which
is the moment generating function of a normal variate with mean

Hence,
X1 + X2 + ... + Xn follow normal distribution
with mean

Probability and complex function: Unit I: Probability and random variables : Tag: : Random variables - Normal distributions
Probability and complex function
MA3303 3rd Semester EEE Dept | 2021 Regulation | 3rd Semester EEE Dept 2021 Regulation