Probability and complex function: Unit I: Probability and random variables : Type 2. B.D, P.D, G.D, U.D, E.D, N.D
Type 2. B.D, P.D, G.D, U.D, E.D, N.D
B.D.
1. Define Binomial Distribution.
A
random variable X is said to follow Binomial distribution if it assumes only
non-negative values and its probability mass function is given by

B.D.
2. Define Binomial frequency distribution.
Let
us suppose that n trials constitute an experiment. Then if this experiment is
repeated N times, the frequency function of the binomial distribution is given
by,

The
expected frequencies of 0, 1, 2, n successes are given by the successive terms
of N (q+p)n.
B.D.
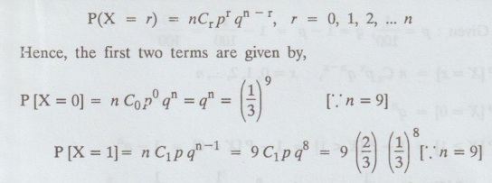
3. For a Binomial distribution mean is 6 and S.D. is √2. Find the first two
terms of the distribution. [A.U. A/M 2004, M/J 2014]
Solution:
For a Binomial distribution, mean = np = 6 (given) and variance = npq

The
probability mass function of a Binomial distribution is given by

B.D.
4. The mean and variance of binomial distribution are 5 and 4. Determine the
distribution.
Solution
:

B.D.
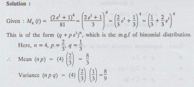
5. Let X be a random variable with moment generating function Mx(t) = (2 et
+ 1)4 / 81, then find its mean and variance.
Solution
:
[A.U
M/J 2016 R13 RP]

B.D.
6. If the probability of success is 1/100, how many trials are necessary in
order that the probability of atleast one success is greater than 1/2 ? [A.U
N/D 2016, R-13 RP]
Solution:

B.D.7.
An experiment succeeds twice as often as it fails. Find the chance that in the
next 4 trails, there shall be atleast on success. [A.U A/M 2019 (R8) R.P]
Solution:
Let
X → Number of successes
Since
we are talking about success and failure.
It
is a Bernoulli trial.
So,
X has a binomial distribution.
n
= number of trials = 4
p
= Probability of success
q
= Probability of failure = 1 - p
Given:
Experiment succeeds twice as often as it fails.

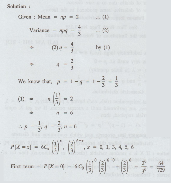
B.D.8.
For a binomial distribution mean is 2 and variance is 4/3, find the first term
of the distribution. [A.U A/M 2019
(R17) PS]
Solution
:

P.D.
1 Define Poisson distribution and state any two instances where Poisson
distribution may be successfully employed. [A.U N/D 2006]
Solution
:
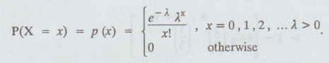
Poisson
Distribution: A random variable X is said to follow
Poisson distribution if it assumes only non-negative values and its probability
mass function is given by

where,
is known as the parameter of Poisson distribution.
State
any two instances where Poisson distribution may be successfully employed.
1.
Number of printing mistakes at each page of the book.
2.
Number of suicides reported in a particular day.
3.
Number of deaths due to a rare disease.
4.
Number of defective items produced in the factory.
P.D.
2. Define Poisson frequency distribution.
Solution
: See Text Book Page No. 1.155
P.D.
3. What are the limitations of Poisson distribution? [A.U A/M 2015 - R13]
Solution:
(i) n is indefinitely large (i.e.,) n → ∞
(ii)
p is very small s.t. p → 0
(iii)
np = λ (a finite quantity)
→
p = λ/ n and q = 1 – p = 1 – λ/n
G.D.
1. Define Geometric distrbution.
Suppose
that independent trials, each having a probability p, 0 < p < 1, of being
a success, are performed until a success occurs. If we get X equal the number
of trials required, then
P{X
= x} = - (1 − p)x−1 p = q`x-1p, x = 1, 2, ..
G.D.
2. State memory less property and which continuous and discrete distributions
follow this property. [A.U A/M 2019 (R13) PQT]
Solution:
If X is a random variable (discrete or continuous), then for any two positive
integers m and n.
P[
X > m + n / X > m] = P [X > n] which is the memoryless property.
Discrete:
Geometric distribution.
Continuous
:
Exponential distribution.
G.D.3.
Find the second moment about the origin of the Geometric nobudi distribution
with parameter p. [A.U A/M 2019 (R17)
R.P]
Solution
:
See
Text Book Page No. F1.8
μ2'
= E[X2] = q/p + 2q2
/ p2
U.D.
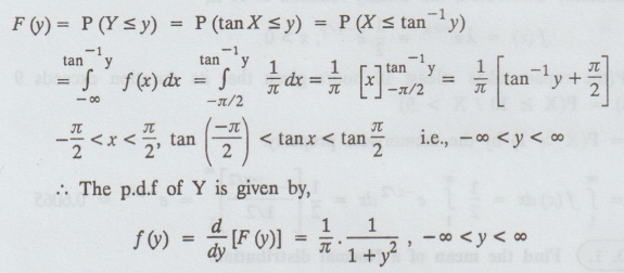
1. If 'X' is Uniformly distributed in (-π / 2 , π / 2), distribution function
of y = tan x.
Sol.
Since, 'X' is Uniformly distributed in (-π / 2 , π / 2) its pdf is f (x) = 1/π We
first determine the distribution function of Y.

U.D.
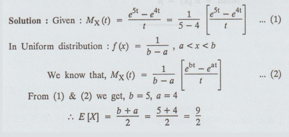
2. If the m.g.f of a Uniform distribution for a random variable X is 1/t (e5t
– e4t), find E (X).
Solution:

U.D.
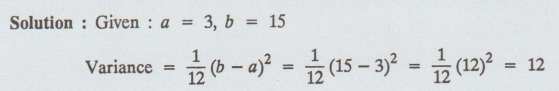
3. A random variable X is uniformly distributed between 3 and 15. Find the
variance of X. [A.U N/D 2015 [R13, R8]
Solution:
Given: a = 3, b = 15

E.D.
1. Define exponential distribution.
A
continuous random variable X is said to follow Exponential distribution if its
probability density function is given by,

E.D.
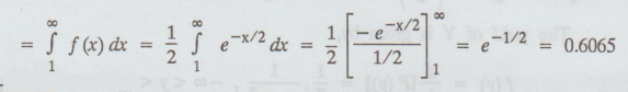
2. The time (in hours) required to repair a machine is Exponentially
distributed with parameter λ = 1/2. What is the probability that a repair takes
atleast 10 hours given that its duration exceeds 9 hours ?
[A.U. N/D 2004]
Solution:
If X represents the time to repair a machine which is Exponentially
distributed, the density function of X is,

P(the
repair takes atleast 10 hours given that its duration exceeds 9 hours)
=
P(X ≥ 10 / X > 9)
P(X
> 1) by the memoryless property.

N.D.
1. Find the mean of a Normal distribution. [A.U N/D 2018, R17, PS]
Solution
:
Mean
= E[X] = μ
Probability and complex function: Unit I: Probability and random variables : Tag: : Probability and random variables | Probability and complex function - Part B Questions and Answer
Probability and complex function
MA3303 3rd Semester EEE Dept | 2021 Regulation | 3rd Semester EEE Dept 2021 Regulation