• In electrostatics, the Gauss's law is applied to the differential volume element to develope the concept of divergence. Similarly in magnetrostatics, the Ampere's circuit law is to be applied to the differential surface element to develope the concept of a curl.
Point Form of Ampere's Circuital Law
AU
; May-05, 16, Dec.-03, 07, 10
•
In electrostatics, the Gauss's law is applied to the differential volume
element to develope the concept of divergence. Similarly in magnetrostatics,
the Ampere's circuit law is to be applied to the differential surface element
to develope the concept of a curl.
• Consider the differential surface element having sides Δx and Δy plane, as shown in the Fig. 7.10.1.

The unknown current has produced
at the
centre of this incremental closed path.
•
The total magnetic field intensity at the point P which is centre of the small
rectangle is,

While
the total current density is given by,

•
To apply Ampere's circuit law to this closed path, let us evaluate the closed
line integral of
about this path in the direction abcda. According
to right hand thumb rule the current is in
direction.

•
The intensity Hy along a-b can be expressed interms of Hy0
existing at P and the rate of change of Hy in the x direction with
x. The distance in x direction of a-b from point P is (Δ x/2). Hence
along a-b can be expressed as,

•
Now Hx can be expressed interms of Hx0 at point P and
rate of change of Hx in y direction with y.
Hx
= Hx0 + Δy / 2 ∂Hx / ∂y
The
distance of be from P is Δ y/2.

•
But Hy can be expressed in terms of Hy0 and rate of
change of Hy in negative x direction. The distance of cd from point
P is (Ax/2) in negative x direction.

• But Hx can be expressed in terms of Hx0 and rate of change of Hx in negative x direction. The distance of cd from point P is (Ax/2) in negative y direction.

•
According to Ampere's circuital law, this integral must be current enclosed by
the differential element.
•
Current enclosed = Current density normal to closed path × Area of the closed
path
Ienc
= Jz Δx Δy
•
where Jz = Current density in
direction as the current enclosed is
in
direction.
•
From equations (7.10.11) and (7.10.12) we can write,

•
This gives accurate result as the closed path shrinks to a point i.e. Δx Δy
area tends to zero.

•
This equation gives relation between closed line integral of
per unit
area and the current per unit area i.e. current density. To have equality sign
between the two, the surface area of closed path must shrink to zero.
•
Considering incremental closed path in yz plane we get the current density
normal to it i.e. in x direction considering incremental closed path in zx
plane we get the current density normal to it i.e. in y direction. So we can
write,

•
where JN = Current density normal to the surface ΔS.
•
The term on left hand side of the equation is called curl
. The ΔSN
is area enclosed by the closed line integral.
•
The total
now can be obtained by adding (7.10.14), (7.10.15) and
(7.10.16).

•
The equation (7.10.18) is called the point form of Ampere's circuital law.
...
This is one of the Maxwell's equations.
Key
Point : The curl is not refering to any co-ordinate system
though it is developed using cartesian co-ordinate system.
•
As the curl of
is a cross product it can be expressed in determinant
form in various co-ordinate systems.
1.
Cartesian co-ordinate system :

2.
Cylindrical co-ordinate system :

Key
Point : Note that in ∂ (rHϕ) / ∂z constant as differentiation is with
respect to z hence it becomes
r
∂Hϕ / ∂z But in ∂ (rHϕ) / ∂r the r can
not be taken out of differentiation, as differentiation is with respect to r.
3.
Spherical co-ordinate system :

Ex. 7.10.1 A flat perfectly conducting surface in xy plane is situated in a magnetic field,

Find
the current density on the conductor surface.
Sol.
:
From the point form of Ampere's circuit law,

Ex.
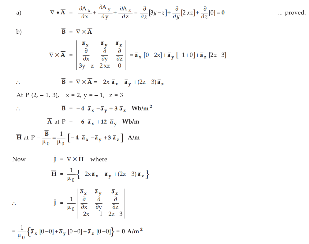
7.10.2 Let
Wb/m in a certain
region of free space, a) Show that 
Sol.
:
The Ā is a vector magnetic potential.

Review Questions
1. Deduce the point form of Ampere's circuital law.
AU : May-05, 16, Marks 8
2. Discuss about curl of a vector. Derive expression for curl of a vector.
Electromagnetic Theory: Unit III: (a) Magnetostatics : Tag: : - Point Form of Ampere's Circuital Law
Electromagnetic Theory
EE3301 3rd Semester EEE Dept | 2021 Regulation | 3rd Semester EEE Dept 2021 Regulation