Probability and complex function: Unit I: Probability and random variables: Examples
Example 1.8.1
If X is a Poisson variate such that
P(X = 2)= 9P(X = 4) + 90P(X = 6), find the variance. [A.U. A/M. 2008, M/J 2013]
Solution:
The probability distribution for the Poisson R.V. X is given by,

(
λ2 + 4 ) (λ2 – 1) = 0
λ2
= - 4 (or) λ2 = 1 ⇒
λ = 1 [λ > 0]
For
a Poisson distribution, Var (X) = λ = 1.
Example 1.8.2
Write down the probability mass
function of the Poisson distribution which is approximately equivalent to B
(100, 0.02).
Solution:
Given:
n = 100 , p = 0.02,
λ = np = 100 × 0.02 = 2
Hence, the probability distribution is

x
= 0, 1, 2, ...
Example 1.8.3
If X and Y are independent Poisson
variate such that P(X = 1) = P(X = 2) and P(Y= 2) = P(Y= 3) X-2Y.
Solution
: We know that, P(X = x) = e-λ λx/x!
Given:
P(X = 1) = P (X = 2)

Var
(X) = λ = 2
Var
(Y) = μ = 3
Var (X - 2Y) = 12 Var (X) + (-2)2
Var (Y)
[
Var (a1 X1 + a2 X2) = a12
V (X1) + a22 V (X2)]
=2+
4 × 3 = 14
Example 1.8.4
What are the main characteristics
of the Poisson distribution and give some example of the same.
Solution:
Its
main characteristics are:
(i)
It is the limiting form of binomial distribution when n is large and p (or q)
is small.
(ii) Here p (or q) is very close to zero or
unity, but if p is very close to zero, the distribution is unimodal.
(iii)
As it consists of a single parameter ' λ ' the entire distribution can be
obtained by knowing the mean ' λ ' only.
Some examples :
(i)
The number of defective screws per box of 100 screws.
(ii)
The number of typographical errors per page in a typed material.
(iii)
The number of cars passing through a certain street in time t'.
Example 1.8.5
Is the additive or reproductive
property of Poisson distribution true for (i) the mean of two Poisson variates
(ii) the difference between the two independent Poisson variates.
Solution:
(i)
The mean of two Poisson variates cannot be a Poisson variate, since the average
can take fractional values which are not possible for a Poisson variate.
(ii)
The difference between the independent Poisson variates is not a Poisson
variate; because, the difference can take negative values also, whereas in a
Poisson distribution, negative values are not permitted.
Example 1.8.6
Deduce the mean and four moments of
the Poisson distribution from binomial distribution as a limiting case : [A.U
A/M 2019 (R17) RP]
Solution
: Binomial distribution → Poisson distribution, when
n→ ∞, np = λ and p or q→ 1
Mean
of binomial distribution np = λ
=
mean of Poisson distribution
µ2
(for binomial distribution) = npq → np = λ = μ2 (for Poisson distribution) as q→ 1.
μ3
(for binomial distribution) = npq (q - p)
→
np (1 - p) as q→ 1
→
npq → np = λ = µ3 (for Poisson distribution)
µ4
(for binomial distribution)
=
npq [1+ 3 (n - 2) pq ] → np (1 + 3 np) as p→ 0, q→ 1
λ
+ 3λ2 =μ4 (for Poisson distribution)
Example 1.8.7
If X and Y are independent Poisson
variates, show that the conditional
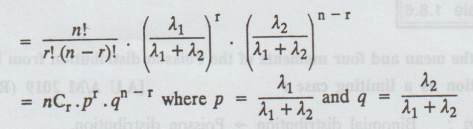
distribution of X given X + Y is binomial. [A.U. M/J 2006]
Solution:
X
and Y are independent Poisson variates with parameter λ1 and λ2
respectively
X + Y is a Poisson variate with parameter λ1+
λ2.

X
= r X+Y=n
[ X and Y have Poisson distribution with
parameters λ1 and λ2 ⇒
X + Y also has Poisson distribution with parameter λ1 + λ2]

=
pdf of binomial distribution.
Hence
the result.
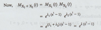
Example 1.8.8
The sum of two independent Poisson
variates is a Poisson variate. [A.U. M/J 2006] [A.U N/D 2018 R-17 PS]
Solution:
Let X1, X2 be the two independent Poisson variate with
parameter λ1 , λ2 respectively.
Now,
MX1 + X2 (t) = MX1(t) Mx2 (t)

The
sum of two independent poisson variates is a Poisson variate.
Example 1.8.9
If X1 and X2
is independent Poisson variates, show that X1 - X2 is not
a Poisson variate. [A.U M/J 2006]
Solution:
Let X1, X2 be the two independent Poisson Variates with
parameter λ1, λ2 respectively.
Now,
MX1-X2(t) = MX1(t).M-X2 (t)
=
MX1 (t). MX2(-t)
=eλ1
(et-1) eλ2 (e-t-1)
which
cannot be expressed in the form of eλ(et -1)
X1 - X2 is not a Poisson
variate.
Example
1.8.10
Derive the Poisson distribution as
a limiting case of Binomial distribution. (OR) State the conditions under which
the Poisson distribution is a limiting case of the Binomial distribution and
show that under these conditions the binomial distribution is approximated by
the Poisson distribution. [A.U N/D 2013, N/D 2014]
Solution:
The
Binomial probability law for x successes in a series of 'n' independent trials
is
P[X
= x] = p(x) = nCxpx qn - x, x = 0, 1, 2, ... n
To
consider it under limiting case when
(i)
n is indefinitely large (i.e.,) n→ ∞
(ii)
p is very small s.t. p → 0
(iii)
np = λ (a finite quantity)
p
= λ/n and q = 1− p = 1 – λ/n
P[X
≤ x] = n Cxpx qn - x

where
λ is known as the parameter of the distribution.
Example 1.8.11
If X is a Poisson variate such that
2 P[X= 0] + P [X = 2] = 2P [X = 1], find E[X].
Solution:

4
+ λ2 = 4 λ
λ2
- 4 λ + 4 = 0
⇒
(λ = 2)2 ⇒ λ
= 2 ⇒ λ = E[X] = 2
Example 1.8.12
If X is a Poisson variate such that
E [X2] = 6, then find E[ X]
Solution:
We know that, E [X] Var[X] = 2, Given E [X2] = 6
Var[X]
= E[X2]-[E(X)2
λ
= 6 - λ2 ⇒ λ2 +λ = 6
⇒ λ2 + λ – 6 = 0
(λ + 3 ) (λ – 1) = 0 ⇒ λ = -3, λ = 2
E[X] = λ = 2 [ λ > 0 ]
Example 1.8.13
If X is a Poisson variate such that
P [X= 0]= 0.5, then find Var[X]
Solution:
Given: P [X=0] = 0.5 V

⇒ e-λ
= 0.5
log
e-λ = log(1/2) ⇒ -λ = − log(1/2)
⇒ λ = log 2
Var(X)
= λ =log 2
Example 1.8.14
It is known that the probability of
an item produced by a certain machine will be defective is 0.05. If the
produced items are sent to the market in packets of 20, find the number of
packets containing atleast, exactly and atmost 2 defective items in a
consignment of 1000 packets using (i) Binomial distribution, (ii) Poisson
approximation to Binomial distribution. [A.U Trichy M/J 2011, CBT N/D 2011]
[A.U N/D 2017 (RP) R-08]
Solution:
(i) Binomial distribution: Let X
denotes the number of defective items produced by a certain machine.
Then
P (X = x) = nCxpx qn -x, x → 0, 1, 2, ... n
P
→ Probability that an item to be
defective = 0.05 and q= 0.95 and n = 20.
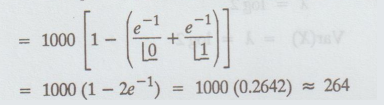
(a)
Number of packets containing atleast 2 defective items = NP(X≥2)
=
1000 [1 - P (X < 2)] =1000 [1 − (P (X = 0) + P(X = 1))]
=1000
[1 − (20C0 (0.05)0 (0.95)20+ 20C1 (0.05)1
(0.95)19)] ≈ 264.
(b)
Number of packets containing exactly 2 defective items
N
[P(X = 2)]
=
1000 [20C2 (0.05)2
(0.95)18] ≈ 189
(c) Number of packets containing atmost 2
defective items
=
N (P(X ≤ 2))
=
N [P(X = 0) + P(X = 1) + P(X = 2)]
=
1000 [20C0 (0.05)0 (0.95)20+ 20C1
(0.05)1 (0.95)19 + 20C2 (0.05)2
(0.95)18] ~ 925
(ii) Poisson distribution : Since
p = 0.05 is very small and n = 20 is sufficiently large, Binomial distribution
may be approximated poisson distribution with parameter λ -= np = 20 × 0.05 =1

(a) Number of packets containing atleast 2
defective items
=
NP(X≥2)
=1000
[1 - P (X < 2)] = 1000 [1 - [P (X = 0) + P(X = 1)]]

(b) Number of packets containing exactly 2
defective items
=
NP(X=2)

(c) Number of packets containing atmost 2 defective
items
= NP(X ≤ 2)
=N[P(X
= 0) + P(X = 1) + P(X = 2)]

Example 1.8.15
If X and Y are independent Poisson
variates with means λ1 and λ2 respectively, find the probability that (i) X + Y =K, (ii) X
= Y.
Solution :
(i)
We know that, for a Poisson variate 'X'

[By additive property of Poisson distribution]
(ii) P(X = Y)

Example 1.8.16
If the moment generating function
of the R.V is e4(et-1), then find
P(X = μ+ σ)
where μ and σ2 are the mean and variance of the Poisson.
Solution:
We
know that, for a Poisson distribution, the moment generating function
is
MX(t) = eλ(et - 1), where λ = 4
Mean
= 4 and S.D.= √Var = √4 = 2
P(X
= µ + σ ) = P (X = 6) = 2
P
(X = µ + σ ) = P (X = 6) =
Example 1.8.17
If
X is a Poisson R.V such that P (X = 1) = 0.3 and P (X = 2) = 0.2, then find P
(X = 0)
Solution:
If
X is a Poisson R.V with parameter λ, then

Example 1.8.18
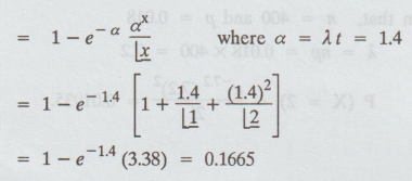
The number of monthly breakdown of
a computer is a random variable having a Poisson distribution with mean equal
to 1.8. Find the probability that this computer will function for a month.
(1) without a breakdown (2) with
only one breakdown and (3) with atleast one breakdown. [AU M/J 2006 MA034] [A.U
N/D 2012] [A.U M/J 2007, N/D 2008] [A.U A/M 2017 R-08] [A.U N/D 2017 (RP) R-13]
Solution: Given:
mean = λ = 1.8
Let X denotes the no. of breakdowns of a computer in a month.

(c) P(with atleast 1 breakdown) =P ( X ≥ ) = 1- P(X < 1)
=
1 – P(X = 0 ) = 1- 0.1653 = 0.8347
Example 1.8.19(a)
The number of typing mistakes that
a typist makes on a given page has a Poisson distribution with a mean of 3
mistakes. What is the probability that she makes
(1) Exactly 7 mistakes = P[X = 7]
(2) Fewer than 4 mistakes = P[X
< 4]
(3) No mistakes on a given page =
P[X = 0] [A.U N/D 2015 R-8]
Solution:
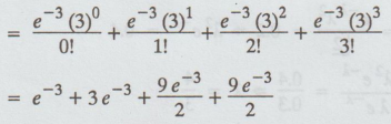
Given: Mean (λ) = 3, P [X = x] = e-λλx / x!
(1)
P[ X = 7] = e-3 (3)7 / 7! = 0.0216
(2)
PX < 4] = P(X = 0] + P(X = 1] + P [X = 2] + P(X = 3]

=
e−3 + 3e-3 + 9e-3/2 + 9e-3/2
=
13e-3 =(13) (0.0498) = 0.6474
(3) P [ X = 0] = e-3(3)0
/ 0! = e-3 = 0.0498
Example 1.8.19 (b)
The average number of traffic
accidents on a certain sections of a highway is two per weak. Assume that the
number of accidents follows a Poisson distribution. Find the probability of (i)
no accident in a week (ii) atmost two accidents in a 2 week period. [A.U A/M
2019 (R13) RP] [A.U M/J 2009]
Solution:
Given:
Mean λ = 2 per week
We
know that, P [X=x] = e- λ λx/x!
= e-2 2x/x!
(i)
P[X = 0] = e-220/0! = e-2 = 0.1353
(ii) During a 2 week period the average number
of accidents in this highway 2 + 2 = 4
The
probability of atmost two accidents in a 2 week period.
=>
P(X ≤ 2) = P[X = 0] + P[X = 1] + P[X = 2]
P[X
≤ 2] = e-440/0! + e-4 41/1! + e-442/2!
=
e-4 [1 +4 +8] = 13 e-4 = 0.238
Example 1.8.20
A book of 500 pages contains 500
mistakes. Find the probability that there are atleast four mistakes per page.
Solution :
Total
number of mistakes in Book = 500
Total
number of pages = 500
The
average of 1 mistake per page i.e., λ = 1
Let
X be a random variable mistakes in a page then

Example 1.8.21
The atoms of a radioactive element
are randomly disintegrating. If every gram of this element, on average, emits
3.9 alpha particles per second, what is the probability that during the next
second the number of alpha particles emitted from 1 gm is (a) atmost 6 (b)
atleast 2 (c) atleast 3 and atmost 6. [AU N/D 2007]
Solution:
Now Mean λ = 3.9
We
know that,

Example 1.8.22
VLSI chips, essential to the
running of a computer system, fail in accordance with a Poisson distribution
with the rate of one chip in about 5 weeks. If there are two spare chips on
hand, and if a new supply will arrive in 8 weeks. What is the probability that
during the next 8 weeks the system will be down for a week or more, owing to a
lack of chips? [A.U N/D 2007]
Solution : λ
= rate of one chip in about 5 weeks = 1/5
P(system
down for atleast one week before new supply in 8 weeks) = P(3 or more failures
within 7 weeks)
=
1 - P[0, 1, 2, failures in 7 weeks]

Example 1.8.23
Messages arrive at a switch board
in a Poisson manner at an average rate of six per hour. Find the probability
for each of the following events:
(1) exactly two messages arrive within one
hour.
(2) no message arrives within one
hour
(3) atleast three messages arrive within one
hour.
[A.U. A/M 2015 R13] [A.U N/D 2016 R13 PQT]
[A.U A/M 2018 R-13] [A.U N/D 2017 R-13]
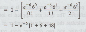
Solution : Mean
λ = 6 per hour
We
know that P [X = x] = e-λ λx/x! = e-66x/x!
(1)
P[X=2] = e-662/2! = 0.0446
(2) P[X = 0] = e-660/0!
= 0.0025
(3) P[X ≥3] = 1-P[X<3]
=
1 - [P [X = 0] + P (X = 1] + P [ X = 2]]

=
1 – e-6 [1 + 6 + 18]
=
0.9380
Example 1.8.24
The probability that a man aged 35
years will die before reaching the age of 40 years may be taken as 0.018. Out
of a group of 400 men now aged 35 years, what is the probability that 2 men
will die within next 5 years?
Solution
: Given that, n = 400 and p = 0.018
λ
= np = 0.018 × 400 = 7.2
P
(X = 2) = e-7.2 (7.2)2/2! = 0.01935.
Example 1.8.25
The manufacturer of pins knows that
2% of his products are defective. If he sells pins in boxes of 100 and
guarantees that not more than 4 pins will be defective. What is the probability
that a box will fail to meet the guaranteed quality ? vs go galwollol ad! lo
doss tol [A.U N/D 2013] [A.U A/M 2018 R8]
Solution
: Given that, n = 100 and p = 2% = 2/100
λ
= np = 2/100 × 100 = 2
P(X
> 4 ) = 1 – P(X ≤ 4 )
= 1- [P(X = 0)+P(X = 1)+P(X = 2)+P(X = 3)+P(X =
4)]

=
0.05265
Probability and complex function: Unit I: Probability and random variables : Tag: : Random variables - Poisson distribution: Solved Example Problems
Probability and complex function
MA3303 3rd Semester EEE Dept | 2021 Regulation | 3rd Semester EEE Dept 2021 Regulation