The Poisson probability distribution was introduced by S.D. Poisson in a book he wrote regarding the application of probability theory to law suits, criminal trials, and the like.
POISSON
DISTRIBUTION
The
Poisson probability distribution was introduced by S.D. Poisson in a book he
wrote regarding the application of probability theory to law suits, criminal
trials, and the like.

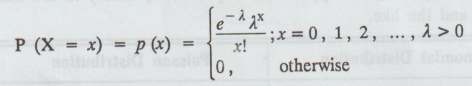
A
random variable X is said to follow Poisson distribution if it assumes only
non-negative values and its probability mass function is given by,

λ
is known as the parameter of the Poisson distribution.
Let
a Poisson experimental consist of n independent trials. Let this experiment,
under similar conditions be repeated N times. Then
gives
the expected number of x successes in N experiments, each consisting of n
trials. The possible number of successes together with the expected frequencies
is said to constitute a Poisson frequency distribution.
The
following are some of the examples where the Poisson probability law can be
applied :
1.
Number of defective items produced in the factory
2.
Number of deaths due to a rare disease.
3.
Number of deaths due to the kick of a horse in an army.
4.
Number of mistakes committed by a typist per page.
If
X1 and X2 are two independent Poisson random variable
with parameters λ1 and λ2 then X1 + X2
is a Poisson random variable with parameter λ1 + λ2.
(i)
No. of defective items produced
(ii) No. of deaths due to a rare disease.
Note: The binomial distribution is characterised by two parameters p, n while the Poisson distribution is characterised by a single parameter λ. The sample space for the binomial distribution is {0, 1, 2, n} while the sample space for the poisson distribution is {0, 1, 2, n, ...} Expected value (mean) is given by λ and variance of the Poisson distribution is also λ.
Probability and complex function: Unit I: Probability and random variables : Tag: : Random variables - Poisson distribution
Probability and complex function
MA3303 3rd Semester EEE Dept | 2021 Regulation | 3rd Semester EEE Dept 2021 Regulation