• From the Gauss's law in the point form, Poisson's equation can be derived. Consider the Gauss's law in the point form as,
Poisson's and Laplace's Equations
AU
: Dec.-03,09,14,18,19, May-06,07,11,12,14,18
•
From the Gauss's law in the point form, Poisson's equation can be derived.
Consider the Gauss's law in the point form as,

ρv
= Volume charge density
•
It is known that for a homogeneous, isotropic and linear medium, flux density
and electric field intensity are directly proportional. Thus,

From
the gradient relationship,

•
Now
operation is called operation and denoted as
.

This
equation (6.2.7) is called Poisson's equation.
•
If in a certain region, volume charge density is zero (ρ v = 0), which is true
for dielectric medium then the Poisson's equation takes the form,

•
This is special case of Poisson's equation and is called Laplace's equation.
The
operation is called the Laplacian of V.
Key
Point : Note that if p v =0, still in that region point
charges, line charges and surface charges may exist at singular locations.
•
The equation (6.2.7) is for homogeneous medium for which e is constant. But if
e is not constant and the medium is in homogeneous, then equation (6.2.5) must
be used as Poisson's equation for in homogeneous medium.
1.
Operation in Different Co-ordinate Systems
•
The potential V can be expressed in any of the three co-ordinate systems as V
(x, y, z), V (r, ϕ, z) or V (r, θ, ϕ). Depending upon it,
the
operation required for Laplace's equation must be used.
•
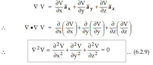
In cartesian co-ordinate system,

•
The equation (6.2.9) is Laplace's equation in cartesian form.
•
In cylindrical co-ordinate system,

The
equation (6.2.10) is Laplace's equation in cylindrical form.
In
spherical co-ordinate system,

The
equation (6.2.11) is Laplace's equation in spherical form.
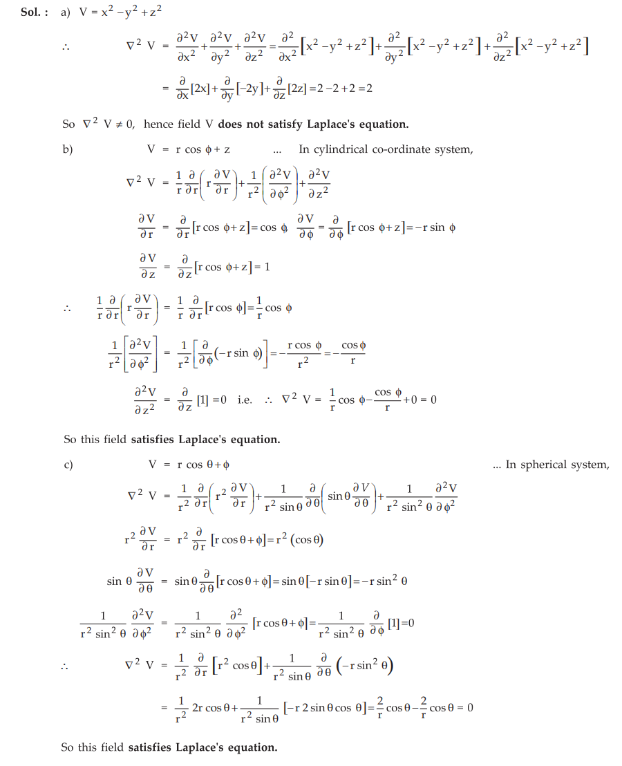
Ex.
6.2.1 Determine whether or not the following potential fields satisfy the
Laplace's equation : a)V = x2 - y2 + z2 b) V =
rcos ϕ+z c) V = rcos θ + ϕ
AU
: May-11, Marks 8
Sol.:
a) V = x2 - y2 + z2

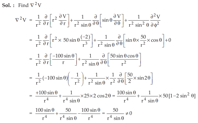
Ex.
6.2.2 Given the potential field, V = 50 sin θ / r2 in free space, determine
whether V satisfies Laplace's equation.
AU
: May-07, Marks 8
Sol.
:

Hence
given potential field does not satisfy Laplace's equation.
Ex.
6.2.3 Show that in cartesian coordinates for any vector 
AU : May-11, 12, Marks 8
Sol.
:
In cartesian system let the vector Ā is,

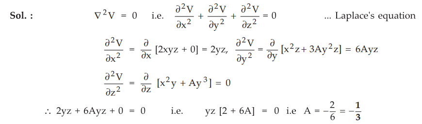
Ex.
6.2.4 If a potential :
V
= x2yz + Ay3 z
Find
‘A’ s that Laplace’s equation is satisfied.
Sol.
:

Ex.
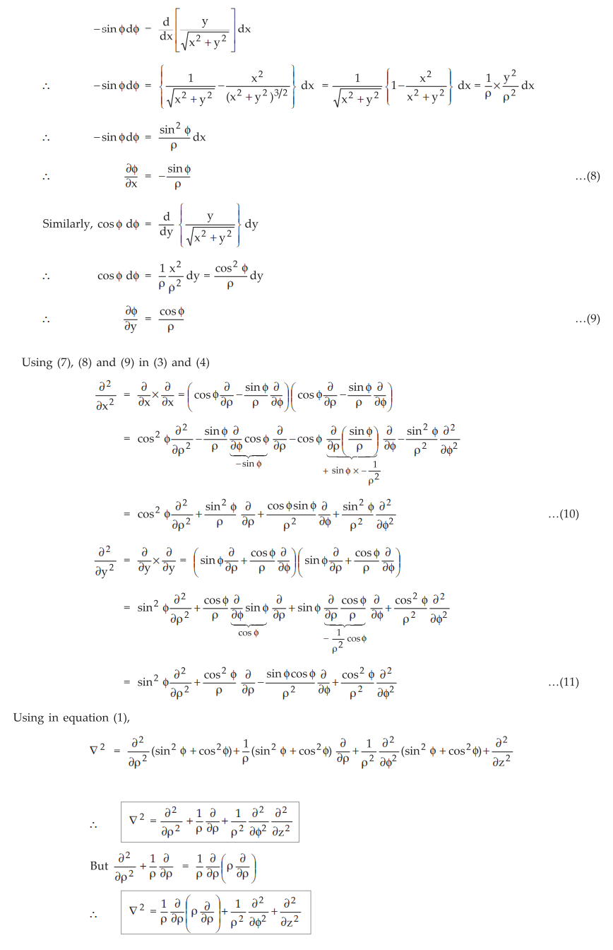
6.2.5 Obtain an expression for the Laplacian operator in the cylindrical
coordinates.
Sol.
:
In cartesian co-ordinates Laplacion operator is,

Using
implicit differentiation of cos ϕ and sin ϕ expressions in equation (2),

This
is Laplacian operator in cylindrical co-ordinates.
Examples
for Practice
Ex.
6.2.6 Let V = 2xy2z3
and Ɛ = Ɛ0. Given point is
P(l,
3, - 1). Find V at point P. Also find out if V satisfies Laplace's equation.
[Ans.:
-18 V, does not satisfy]
Ex.
6.2.7 Let V1 (r, θ, ϕ) = 6 / r and V2
= (r, θ, ϕ) = 3
i)
State whether V1 and V2 satisfy Laplace's equation.
ii)
Evaluate V1 and V2 at r = 2.
[Ans.:
i) Both V1 and V2 satisfy
Laplace's equation, ii) 3]
Review Questions
1. Derive Laplace's and Poisson's equations front the Gauss's
law.
AU : Dec.-03, 09, 14, 18, May-06, 18, Harks 8
2. Derive the Laplace's equation. Obtain the Laplacian's
operator in the cylindrical coordinate
AU : May-14, Marks 16
Electromagnetic Theory: Unit II: (c) Poissons and Laplaces Equations : Tag: : Definition, Solved Example Problems - Poisson's and Laplace's Equations
Electromagnetic Theory
EE3301 3rd Semester EEE Dept | 2021 Regulation | 3rd Semester EEE Dept 2021 Regulation