• Notation : If B is the initial point and A is the final point then the potential difference is denoted as VAB which indicates the potential difference between the points A and B and unit charge is moved from B to A.
Potential Difference
AU
: May-07
•
In the last sections it has been discussed that the work done in moving a point
charge Q from point B to A in the electric field
is given by,

•
If the charge Q is selected as unit test charge then from the above equation we
get the work done in moving unit charge from B to A in the field
.
This work done in moving unit charge from point B to A
in the field
is called potential difference between the points B
and A. It is denoted by V.
Potential
difference =
... (4.4.2)
•
Thus work done per unit charge in moving unit charge from B to A in the field
is called potential difference between the points B and A.
•
Notation : If B is the initial point and A is the final point then the
potential difference is denoted as VAB which indicates the potential difference
between the points A and B and unit charge is moved from B to A.

Key
Point : VAB positive if the work is done by the
external source in moving the unit charge from B to A, against the direction of
.
•
The work done in moving unit test charge from infinity to a point in an
electric field is called an electric potential of that point.
•
The potential difference is work done per unit charge. The work done is
measured in joules while the charge in coulombs. Hence unit of potential
difference is joules/coulombs (J/C). But practically the emit is called Volt
(V).
One
volt potential difference is one joule of work done in moving unit charge from
one point to other in the field
1
volt = 1 joule / 1 coulomb … (4.4.4)
Ex.
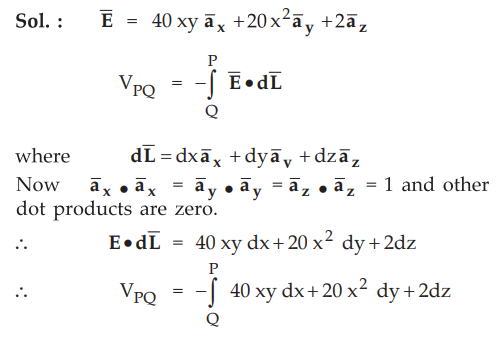
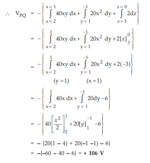
4.4.1 Given field intensity
calculate the potential difference
between two points P(l, -1, 0) and Q(2, 1, 3).
AU
: May-07, Marks 10
Sol.:

As
integral does not depend on the path from Q to P we can divide the path as,
Path
1 Q(2, 1, 3) to (1, 1, 3) …. Only x varies
Path
2 (1, 1, 3) to (1, -1, 3) …. Only y varies
Path
3 (1, -1, 3) to P(l, -1, 0) …. Only z varies

Review Question
1. Explain the concept of electric potential difference.
Electromagnetic Theory: Unit II: (a) Electric Work Potential and Energy : Tag: : Concept, Example Solved Problems - Potential Difference
Electromagnetic Theory
EE3301 3rd Semester EEE Dept | 2021 Regulation | 3rd Semester EEE Dept 2021 Regulation