• Consider a line charge having density ρL C/m, as shown in the Fig. 4.6.1.
Potential due to a Line Charge
AU
: May-05, 09
•
Consider a line charge having density ρL C/m, as shown in the Fig. 4.6.1.

•
Consider differential length dL' at a distance r'. Then the differential charge
on the length dL' is given by,
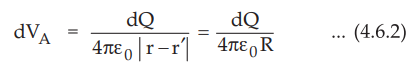
dQ
= ρL(r ')dL' ...(4.6.1)
where ρL(r') = Line charge density at r'
Let the potential at A is to be determined. Then

•
The R = |r - r '| indicates the distance from the differential charge.
•
The dVA is a differential potential at A. Hence the potential VA
can be obtained by integrating dVA over the length over which
line charge is distributed.

Key
Point : Note that R is the distance and not the vector and
for uniform line charge density ρL(r') = ρL.
Ex.
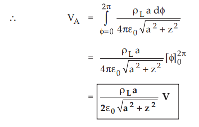
4.6.1 Find the potential V on z-axis at a distance z from origin when uniform
line charge ρL in the form of a ring of radius a is placed in the z = 0 plane.
Sol.
:
The arrangement is shown in the Fig. 4.6.2.

The
point A (0, 0, z) is on z-axis, at a distance z from the origin while radius of
the ring is a.
Consider
differential length dL' at point P on the ring. The ring is in z = 0 plane
hence dL' in cylindrical system is,
dL
= r’d ϕ
= ad ϕ
The
distance of point A from the differential charge is R = l (PA).
R
= √a2 + z2 ... From
the Fig. 4.6.2

Hence
the potential of A is to be obtained by integrating dVA over the circular ring
i.e. path with radius r' = a and 0 varies from 0 to 2 π

Important
Key
Point : Note that the potential at a point can be obtained
by two ways.
1.
If
is known then use,

C
= 0 if reference is infinity.
2.
If
is not known, then find differential charge dQ considering
differential length dL' and

The
integration depends on the charge distribution.
Ex.
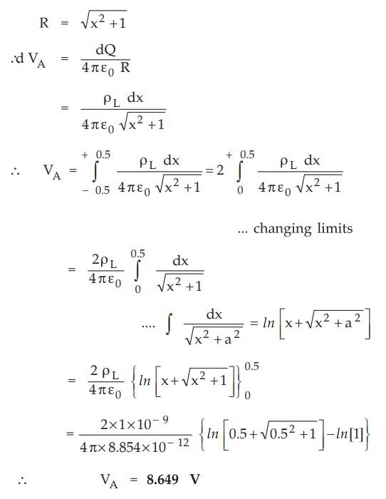
4.6.2 A uniform line charge of 1 nCIm is situated along x-axis between the
points (-500, 0) and (500, 0) mm. Find the electric scalar potential at
(0,1000) mm.
AU
: May-05, Marks 10
Sol
. :
ρL
= 1 nC/m along x-axis and find V at A (0, 1000) mm.

Sol
. :
Consider
elementary charge dQ on length dx at distance x from orign.
dQ
= ρL dx
Distance
of point A from charg dQ is

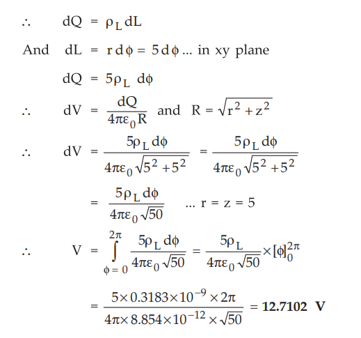
Ex. 4.6.3 A total charge of 10 -8 C is distributed uniformly along a ring of radius of 5 m. Calculate the potential on the axis of the ring at a point 5 m from the centre of the ring.
Sol.
:
Q = 10-8 C, r = 5 m, h = 5 m. The ring is shown in the Fig. 4.6.4.

Consider
the differential length dL on the ring.

Example
for Practice
Ex.
4.6.4 A uniform line charge density pL C/m is
existing from - L to + L on y-axis. Find potential at A (a, 0, 0).

Ex.
4.6.5 A total charge of 40/3 nC is uniformly
distributed over a circular ring of radius 2 m placed in z = 0 plane, with
center as origin. Find the electric potential at A (0, 0, 5).
[Ans.:
22.252 V]
Electromagnetic Theory: Unit II: (a) Electric Work Potential and Energy : Tag: : - Potential due to a Line Charge
Electromagnetic Theory
EE3301 3rd Semester EEE Dept | 2021 Regulation | 3rd Semester EEE Dept 2021 Regulation