Consider uniform surface charge density ρs C/m2 on a surface, as shown in the Fig. 4.7.1
Potential due to Surface Charge
AU
: May-08, 13
Consider
uniform surface charge density ρs C/m2 on a surface, as shown in the
Fig. 4.7.1.

•
Consider the differential surface area dS' at point P where p s is indicated as
ρ s(r')
•
The differential charge can be expressed as,

where
R = Distance of point A from the differential charge
•
The total potential at A can be obtained by integrating dVA over the
given surface.

•
Note that for uniform surface charge density ρ S (r') = ρS.
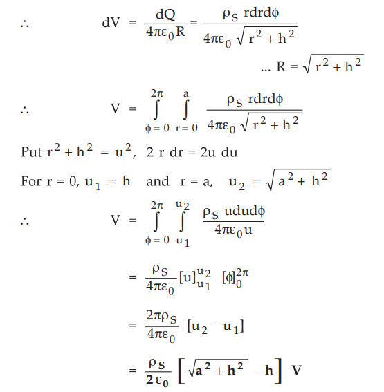
Ex.
4.7.1 Find the potential due to charged circular disc having uniform surface
charge density of ρS c/m2 at a height 'h' an its axis.
Sol.
:
Let the disc of radius 'a' is placed in x-y plane and z is its axis. The disc
is charged with uniform charge density of ρS as shown in the Fig. 4.7.2.

Consider
the differential surface area dS with a charge dQ = ρS dS. As dStis in the x-y
planeti.e. normal direction is ![]()
The
potential due to charged disc at point P is given by,

This
is the required potential due to charged disc of radius 'a', at a height 'h'
along its axis.
Examples
for Practice
Ex.
4.7.2 Two concentric cylindrical conductors
are arranged to form a coaxial transmission line. Prove that the potential
difference between the conductors is given by,

where
a = Radius of inner cylinder, b = Radius of outer cylinder, p£ = Charge per
unit length of the inner conductor.
Ex.
4.7.3 A total charge of 1CF8 C is distributed
uniformly along a ring of radius 5 m. Calculate the potential on the axis of
the ring at a point 5 m from the centre of the ring. If the same charge is
uniformly distributed on a disc of 5 m radius, what will be the potential on
its axis at 5 m from the centre ?
[Ans.:
12.7101 V, 14.8909 V]
Ex.
4.7.4 Show that the potential at the origin
due to the uniform surface charge density ρS over a ring z = 0 and radius
between R < r < R +1, is independent of R.
[Ans.
: ρS / 2Ɛ0 V]
Ex.
4.7.5 A total charge of 40/3 nC is uniformly
distributed over a circular disc of radius 2 m. Find the potential at a point
on the axis 5 m from the plane of the disc.
[Ans.:
23.0776 V]
Review Question
1. Explain potential due to charged disc.
Electromagnetic Theory: Unit II: (a) Electric Work Potential and Energy : Tag: : - Potential due to Surface Charge
Electromagnetic Theory
EE3301 3rd Semester EEE Dept | 2021 Regulation | 3rd Semester EEE Dept 2021 Regulation