• Consider a uniform volume charge density p v C/m3 over the given volume as shown in the Fig. 4.8.1.
Potential due to Volume Charge
•
Consider a uniform volume charge density p v C/m3 over the given
volume as shown in the Fig. 4.8.1.
•
Consider the differential volume dv' at point P where the charge density is ρv
(r').
•
The differential charge can be expressed

where
R = Distance of point A from the differential charge

•
The total potential at A can be obtained by integrating dVA over the given
volume.

•
Note that for uniform volume charge density ρv(r') = ρV

Ex.
4.8.1 Find the potential of a uniformly charged spherical shell of radius R at
points inside and outside.
Now
total charge contained by sphere is,
4-E
or
AU
: May-03, Marks 8
Sol.
:
Consider a sphere of radius R with a uniform charge density ρv.
Case
1 :
Let point P is outside sphere (r > R).
The
is directed radially outwards, along
direction.

Key
Point : The limits to be taken against the direction of the
i.e. from r = ∞ to r.

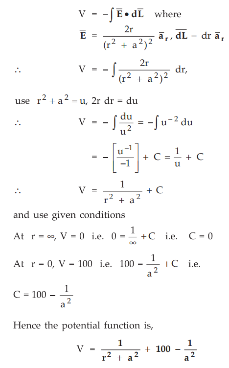
Ex.
4.8.2 Find the electric potential at any point given the electric field :

The
boundary conditions are : at r = ∞, V = 0 and at r = 0 and V = 100.
AU
: May-14, Marks 8
Sol.
:
The potential is given by,

Ex.
4.8.3 If φ (r, θ, ϕ ) satisfies Laplace’s equation inside a. sphere, show that
the average of φ (r, θ, ϕ ) over the surface is equal to the value of the
potential at the origin.
Sol.
:
The value of V at a point (x, y, z) is equal to the avarage value of V around
this point.

Where
R = Radius of sphere
The
surface integral is across the surface of a sphere centered at origin and with
radius R.
Consider
the electrostatic potential generated by a point charge q located on the z-axis
at a distance r away from the center of a sphere as shown in the Fig. 4.8.4.

The point P is on the surface of the sphere at a distance 'd' from charge q. The potential at P is given by,

The
average potential can be obtained by integrating VP across the surface of the
sphere as,

This
shows that the average of ^r,6,4) over the surface is equal to the value of the
potential at the origin.
Electromagnetic Theory: Unit II: (a) Electric Work Potential and Energy : Tag: : - Potential due to Volume Charge
Electromagnetic Theory
EE3301 3rd Semester EEE Dept | 2021 Regulation | 3rd Semester EEE Dept 2021 Regulation