• By the means of electromagnetic (EM) waves, an energy can be transported from transmitter to receiver. The energy stored in an electric field and magnetic field is transmitted at a certain rate of energy flow which can be calculated with the help of Poynting theorem.
Poynting Vector and Poynting Theorem
AU
: May-04, 06, 07, 10, 11, 12, 17,18, Dec.-03, 04, 06, 07, 08, 09, 10, 11, 12,
14, 17, 19
•
By the means of electromagnetic (EM) waves, an energy can be transported from
transmitter to receiver. The energy stored in an electric field and magnetic
field is transmitted at a certain rate of energy flow which can be calculated
with the help of Poynting theorem. As we know
and
are basic
fields.
is electric field expressed in V/m; while
is
magnetic field measured in A/m. So if we take product of two fields, dimensionally
we get a unit V.A/m2 or watt/m2. So this product of
and
gives a new quantity which is expressed as watt per unit
area. Thus this quantity is called power density.
Statement
of poynting theorem
•
Poynting theorem states that the vector product of electric field intensity
and magnetic field intensity
at any point is a measure
of the rate of energy flow per unit area at that point and the direction of
power flow is perpendicular to
and
both along the direction of
.
As
and
both are vectors, to get power density we may carry out either dot
product or cross product. The result of a dot product is always a scalar
quantity. But as power flows in certain direction, it is a vector quantity. To
illustrate this, consider that the field is transmitted in the form of an
electromagnetic waves from an antenna. Both the fields are sinusoidal in
nature. The power radiated from antenna has a particular directon. Hence to calculate
a power density, we must carry out a cross product of
and
. The
power density is given by

•
Where
is called Poynting Vector, named after an English Physicist
John N. Poynting.
is the instantaneous power density vector
associated with the electromagnetic (EM) field at a given point. The direction
of
indicates instantaneous power flow at the point. To get a net
power flowing out of any surface,
is integrated over same closed
surface.
•
The Poynting theorem is based on law of conservation of energy in electromagetism.
Poynting theorem can be stated as follows :
•
The net power flowing out of a given volume v is equal to the time rate of
decrease in the energy stored within volume v minus the ohmic power dissipated.
This can be well illustrated by the Fig. 10.8.1.

•
The above equation indicates that
are mutually perpendicular to each
other.
•
Consider that the electric field propagates in free space given by

•
In the medium, the ratio of magnitudes of
and
depends on its intrinsic
impedance ɳ. For free space,

•
Moreover, in the free space, electromagnetic wave travels at a speed of light.
•
Thus we can write,

•
According to Poynting theorem

•
This is nothing but the power density measured in watt/m2. Thus the
power passing particular area is given by,
Power
= Power density × Area
•
To find average power density, let us integrate power density in z-direction
over one cycle and divide by the period T of one cycle.

•
The average power flowing through any area S normal to the direction of power
flow is given by,

•
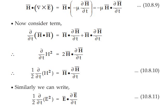
Consider Maxwell's equations as given below:

•
Dotting both the sides of equation (10.8.6) with
, we get,

•
Let us make use of a vector identity as given below,

•
Applying above vector identity to equation (10.8.8) with

•
Consider
first term on left of equation (10.8.8). Putting value of
from equation
(10.8.5) we can write,

•
Using results obtained in equations (10.8.9), (10.8.10) and (10.8.11) in
equation (10.8.8),

•
Equation (10.8.12) represents Poynting theorem in point form. If we integrate
this power over a volume, we get energy distribution as,

•
Applying divergence theorem to left of above equation, we get,

•
Equation (10.8.13) represents Poynting theorem in integral form.
Inerpretation
of the terms in the equation
1.
The term on the left-hand side indicates the net power flowing out of the
surface. The term
is poynting vector and is equal to
. It is
the instantaneous power density vector associated with the electromagnetic
field at any point.
2.
The first term on the right-hand side represents power dissipated in the medium
where σ ≠ 0. It is actually the total ohmic power loss within
the volume.
3.
The second term on the left hand side represents the rate of decrease in energy
stored in the electric and magnetic fields.
4.
According to the law of conservation of energy, the sum of two terms on the
right-hand side is equal to the total power flowing out of the volume. This can
be interpreted as,

•
This can be represented with the help of equation as given below,

•
When we define Poynting vector, both the fields
and
are assumed to be in
the real form. If
and
are expressed in phasor form, then the
average power is given by,

•
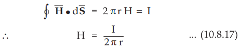
Consider a co-axial cable in which the power is transfered to the load
resistance R along a cable. There are two conductors namely inner conductor and
outer conductor concentric to each other. Let the radius of the inner conductor
be 'a' units and the inner radius of the outer conductor be 'b' units as shown
in the Fig. 10.8.2.

•
In the cable, there exists a d.c. voltage V between the two conductors, while
the steady current I flows in the inner and outer conductors as shown in the
Fig. 10.8.2. The magnetic field strength H will be directed in the circular
path about the axis as shown in the Fig. 10.8.2. In the region between the two
conductors, the current enclosed is equal to the magnetomotive force around any
of the circles of H.

•
The magnetic field H is constant along any of the circular path. Let r be the
radius of any circle considered then the magnetomotive force is given by,

•
Let q be the charge per unit length, then the potential difference between
inner and outer conductor of a co-axial cable is given by,
V
= q / 2πƐ log (b/a) … (10.8.18)
•
Similarly the magnitude of electric field intensity E for a co-axial cable is
given by,
E
= q / 2πƐr
•
From equations (10.8.18) and (10.8.19), we can write,
E
= q / r [log(b/a)] …(10.8.20),
•
According the Poynting theorem, the Poynting vector is given by,

•
But the power flows in the direction parallel to the axis of the cable. As E
and H are mutually perpendicular to each other everywhere, the magnitude of the
Poynting vector is given by,
P
= E • H
•
The total power flow along the cable can be obtained by integrating the
Poynting vector over any cross-sectional surface with area 2 π r dr.

•
Above result is certainly an universal result the power flow is product of
voltage and current. The important point to be noted here that the area over
which the Poynting vector is integrated did not include any of the conductors.
Hence we can conclude that in case of a perfect conductor, the power flow is
entirely external to the conductors.
•
In electromagnetic field theory, the relations between the Poynting vector and
the field strength are very much similar to those relations between power and
voltage and current in a.c. circuits.
•
In general, the Poynting vector is given by

•
Equation (10.8.22) represents the instantaneous power flow per unit area. Hence
it is also called instantaneous Poynting vector.
•
The complex Poynting vector is given by,

•
From equation (10.8.23) it is clear that the product of
and
is a vector
product. The mutually perpendicular components of
and
,
contribute to the power flow. This power flow is directed along the normal to
the plane containing
and
. Thus the complex flow of power per unit
area normal to the x-y plane is given by

•
Using the complex Poynting vector, we can obtain the average and reactive parts
of the power flow per unit area.
•
The average part of the power flow per unit area is given by

•
Similarly the reactive part of the power flow per unit area is given by

•
In terms of the complex Poynting vector, the total instantaneous Poynting
vector can be written as,

•
The power loss in a conductor is nothing but the power flow per unit area
through the surface. Such a power flow from the surface is represented by the
normal component of the Poynting vector at the surface of the conductor.
•
Let us consider a plane metallic conductor with a thickness greater compared to
the skin depth 8 of the conductor. The skin depth of a conductor is defined as
a distance through which the amplitude of the travelling wave decreases to 37 %
of the original amplitude.
•
Let
be the tangential components of the electric field
and the
magnetic field
at the surface of the conductor respectively. According to the
continuity requirement, the tangential component of
is
continuous at the boundary of the conductor. Then the tangential component of
the electric field
is obtained from the relationship given by,
η
= Etan / Htan ... (10.8.28)
where
η = Intrinsic impedance of the conductor
•
Hence just inside the conductor the tangential component of
is given
by,
Etan = η Htan ...(10.8.29)
•
According to the continuity requirements, outside the conductor surface the
tangential component of
will be same.
•
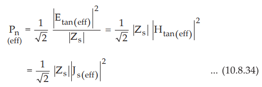
The average power flow per unit area normal to the surface is given by,

•
The tangential components of
and
are at right angles to each other.
But for a good conductor Etan leads Htan by 45°, equation (10.8.30)
can be modified as,

•
As we have assumed that the thickness of the conductor is much greater than the
skin depth, it can be considered that surface impedance Zs is equal to the
intrinsic impedance n of the conductor. Then equation (10.8.31) can be written
as,

•
The current density
in a conductor is proportional to the magnetic
field strength at the surface.

•
In the equations (10.8.31), (10.8.32) and (10.8.33) the values of Etan,
Htan and Js are assumed to be the maximum values. If these values
are expressed as effective or r.m.s. values then the equations are given by,

•
Equations (10.8.31), (10.8.32), (10.8.33) and (10.8.34) represent the normal
component of the Poynting vector i.e. the power loss in a conductor.
Ex.
10.8.1 In free space,
Find the average power crossing a circular
area of radius 2.5 m in the plane z = 0. Assume E m = Hm . η0 and η0 = 120π Ω .
AU : May-07, Marks 8
Sol.
:
In complex form,

The
power flow is normal to the circular area.
Ex.
10.8.2 In free space
E(z,t)
= 100 sin(ωt- βz)
(V/m). Find the total
power passing through a square area of side 25 mm in the z = 0 plane.
Sol.
:

Hence
total power passing through area of square of side 25 mm is given by,
P
= (Pavg) (Area)=(13.2629) (25× 10−3)2 = 8.289
mW
Ex.
10.8.3 A plane travelling wave has a peak electric field intensity E as 6 kV/m.
If the medium is lossless with Ɛr =3 andµr =1, find the velocity of the EM
wave, Poynting vector, impedance of the medium and the peak value of the
magnetic field H.
Sol.
: E0
= Peak electric field = 6 kV/m
For
lossless medium : Ɛ r = 3, µr = 1
i)
For the lossless medium, the velocity of EM wave is given by,

ii)
The intrinsic impedance of the lossless medium is given by,

Ex.
10.8.4 Give the physical significance of Poynting vector. A uniform plane wave
is propagating in medium. Find the magnitude and direction of Poynting vector.
Calculate the average power density and the average power flowing through
circular area of radius a in xy plane.
AU
: May-05, Marks 8
Sol.
:
Consider that the electromagnetic wave is propagating in free space. The
electric field is given by'

For
the free space, the ratio of magnitudes of depends on the intrinsic
impedance i.e. h o which is given by,
η0
= E0 / H0 = 377 Ω
Thus
we can write the expression for
which is mutually perpendicular to
as,

To
find average power density, integrating power density over one cycle and
divided by period T of one cycle, we get,

Now
the circular area with radius a is given by,
Area
= πr2 = πa2
Hence
the power flowing through the circular area of radius a in x-y plane is given
by,

Ex.
10.8.5 A circularly polarized electromagnetic wave is given by :

Show
that the average value of the Poynting vector for the wave is equal to the sum
of the Poynting vectors of its components.
Dec.-19,
Marks 13
Sol.
:
The electrical field is given by,

As
the wave is propagating in the z direction, the corresponding magnetic field is
given by,

The
individual components having average poyning vectors are given by,

This
show that average value of poynting vector for the wave is equal to the sum of
the poynting vectors of its components.
Examples
for Practice
Ex.
10.8.6 If the field vectors of a wave in free
space are given by,

Determine
the phasor Poynting vector and calculate power crossing 4 m2 patch
of the y-z plane.

Ex.
10.8.7 In free space,
.
Find the total power passing :
i) a square plate of side 10 cm on plane x + z =
1
ii)
a circular disc of radius 5 cm on plane x = 1.
[Ans.:
53.3144 mW, 59.2176 mW]
Review Questions
1. State and prove Poynting's theorem and derive the expression
for average power.
AU : May-04, 06, 10, 17, Dec.-04, Marks 12
2. A charge q is moving with a uniform velocity v . Obtain its
poynting vector and show that the energy propagates along with the moving
charge.
AU : Dec.-08, 19, Marks 13
3. Derive suitable relations for integral and point forms of
Poynting theorem.
4. Define and derive Poynting vector. Mention its practical
significance.
AU : May-07, 18, 19, Dec.-03, 12, 17, Marks 8
5. Explain Poynting vector and power flow in electromagnetic
fields.
6. Explain the following : Poynting vector, average power and
instantaneous power.
AU : Dec.-lO, May-12, Marks 8
7. Show that the total power flow along a coaxial cable will be
given by the surface integration of the poynting vector over any closed
surface.
AU : May-06, 11, Dec.-06, 14, Marks 12
Electromagnetic Theory: Unit V: Electromagnetic Waves : Tag: : Electromagnetic Waves - Poynting Vector and Poynting Theorem
Electromagnetic Theory
EE3301 3rd Semester EEE Dept | 2021 Regulation | 3rd Semester EEE Dept 2021 Regulation