Probability and complex function: Unit IV: Complex integration : Problems based on contour integration
Problems based on contour integration

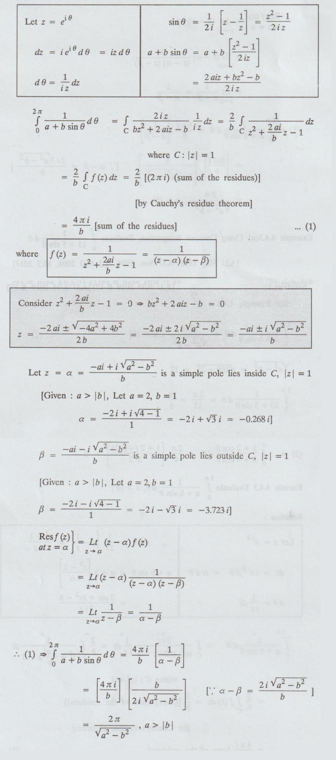
Example
4.4.1.


Example
4.4.1(a)

Solution
:

Example
4.4.1(b)

[A.U May 1999, Nov. 2001] [A.U. A/M 2008]
[A.U. N/D 2008, 2009, 2010] [A.U. M/J 2010, A/M 2011] [A.U M/J 2016 R-8]
Solution:

Example
4.4.1 (c) Using Contour integration, evaluate

Solution
:
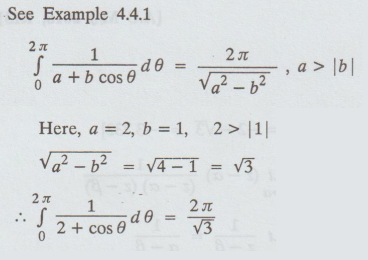
See
Example 4.4.1

Example
4.4.1(d)

Solution
:
See
Example 4.4.1

Example
4.4.1(e)
by using contour integration.
Solution
:
See
Example 4.4.1

Example
4.4.2

Solution :

Example
4.4.2 (a)

Solution
:
See
Example 4.4.2

Example
4.4.2 (b) Show that 
Solution
:
See
Example 4.4.2.

Example
4.4.2(c) Show that 
[A.U M/J 2013, A/M 2015 R8, N/D 2015 R13]
[2003
QV U.A]
Solution
:
See
Example 4.4.2

Example
4.4.2 (d)

Solution
:

Example
4.4.2 (e) Using the Contour integration, evaluate the real integral

[A.U N/D 2005]
Solution
:

Examle
4.4.3

Solution :

Example
4.4.3 (a) Using Contour integration, Evaluate 
[A.U May 1998, A.U Nov. 1996, A.J M/J 2008,
M/J 2014]
[A.U N/D 2019 R-17] [A.U A/M 2019 R-17]
Solution
:
See
Example 4.4.3

Example
4.4.3 (b)

[A.U M/J 2007]
Solution
:
(1)
See Example 4.4.3

Eample
4.4.4

Solution
:

Type
II.
Improper
integrals of the form
where P (x) and Q (x) are polynomials
in x such that the degree of Q exceeds that of P at least by two and Q (x) does
not vanish for any x.
Probability and complex function: Unit IV: Complex integration : Tag: : Example Solved Problems - Problems based on contour integration
Probability and complex function
MA3303 3rd Semester EEE Dept | 2021 Regulation | 3rd Semester EEE Dept 2021 Regulation