A point z = z0 at which a function f (z) fails to be analytic is called a singular point or singularity of f (z).
SINGULARITIES - RESIDUES RESIDUE THEOREM
(d) Singular points (or) Singularity of f(z)
[A.U.
A/M 2011, M/J 2012] [A.U A/M 2019 (R17)]
A
point z = z0 at which a function f (z) fails to be analytic is
called a singular point or singularity of f (z).
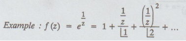
Example
: Consider f (z) = 1 / 2 - 3
Here,
z = 3 is a singular point of f (z)
1.
Types of singularities
(e) Isolated singularity:
A
point z = zo is said to be isolated singularity of f (z)
if
(i) f (z) is not analytic at z = z0
(ii)
There exists a neighbourhood of z = z0 containing no other
singularity.
Example
: ƒ (z) = 1/z
This
function is analytic everywhere except at z = 0
..
z = 0 is an isolated singularity.
Note:
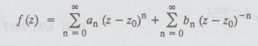
If z = zo is an isolated singular point of a function f (z), then the
singularity is called
(i)
a removable singularity (or)
(ii)
a pole (or)
(iii)
an essential singularity
according
as the Laurent's series about
z
= z0 of f (z), valid in a deleted neighbourhood of z = z0,
has
(i)
no negative powers or
(ii) a finite number of negative powers or
(iii)
an infinite number of negative powers
Note
2:
Let, z = z0 be an isolated singular point of the function f (z).
Then,
f (z) is analytic inside and on a circle C except at z = z0
the
centre of C and therefore f (z) can be expanded by a Laurent's series.

If
the principal part of f (z) contains no term
i.e.,
b = 0 for all n, then the singularity z = z0 is known as the
removable singularity of f (z).

A singular point z = z0 is called a removable singularity of f (z), if lim(z → z0) f z exists finitely

Example
4.3.6. (a) What is the nature of the singularity z = 0 of the function f(z) = sin
z –z / z3
[Anna, May 2001, May 1999] [A.U April 2017
R-15, U.D]
Solution:
Given:
ƒ (z) = sin z - z / z3
The
function f(z) is not defined at z = 0.
But
by L' Hospital's rule.

Since,
the limit exists and is finite, the singularity at z = 0 is a removable singularity.
Example 4.3.6 (b) Classify the singularities for the functions
f(z)
= z - sin z / z
Solution:
Given:
f(z) = z
- sin z / z
The
function f(z) is not defined at z = 0.
But
by L'Hospital rule.

Since,
the limit exists and is finite, the singularity at z = 0 is a removable singularity.
Example
4.3.7. Find the nature of the singularity at z = 0 of f (z) = sin z / z
Solution:
Given: g (z) = sin z / z
The
function f (z) is not defined at z = 0
But
by L' Hospital's rule

Since,
the limit exists and is finite, the singularity at z = 0 is a removable singularity.
If
we can find a positive integer n such that
then z = a is called a
pole of order n for f (z).
(or)
An
analytic function f (z) with a singularity at z = a if

Note
(1)
: Simple pole
A
pole of order one is called a simple pole.
Example:
If f (z) = 1 / (z - 4)2 (z - 3)3 (z - 1)
Here,
z = 1 is a simple pole
z
= 3 is a pole of order 3
z
= 4 is a pole of order 2
[A.U
D15/J16 R-08, R-13]
If
the principal part contains an infinite number of non zero terms, then z = z0
is known as an essential singularity.

has
z = 0 as an essential singularity
Since,
f (z) is an infinite series of negative powers of z.
has z = 4 as an essential singularity.
Note:
The removable singularity and the poles are isolated singularities. But, the
essential singularity is either an isolated or non-isolated singularity.
A
function f (z) which is analytic everywhere in the finite plane (except at
infinity) is called an entire function or an integral function.
Example:
ez, sinz, cos z are all entire functions.
A
function f (z) which is analytic everywhere in the finite plane except at
finite number of poles is called a meromorphic function.
Example:
f(z)
= z + 3 / (z-1) (z-2)2 is called a Meromorphic function, since it
fails to be analytic only at poles z = 2 and z = 1.
II
Residues
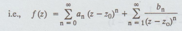
(k) Residues
If
z = z0 is an isolated singular point of f (z), we can find the
Laurent's series of f(z) about z = z0

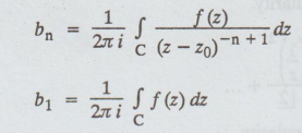
The
co-efficient of 1 / z - z0 in the above expansion is called the
residue of f (z) at z = z0
i.e.,
b1 is the residue of f (z) at z = z0
From
the definition of b, given in the theorem of Laurent's series

Residue
of f (z) at z = z0 may be denoted by Res [f(z), z0]
Evaluation
of Residues
(i)
Residue at a pole of order m.(z) =
If z = z0 is a pole of order m, a simple formula to determine the residue is given by

Note
:
1.
If the singularities are poles, we can use the above formulae to evaluate the
residues of f (z). Otherwise, expand the function in Laurent's series and then
find the residues.
2.
If f (z) has a removable singularity at zo, then Res [f(z), zo]
3.
Limit point of poles is a non-isolated essential singularity.
4.
Limit point of zero is an isolated essential singularity.
Probability and complex function: Unit IV: Complex integration : Tag: : Complex integration - Singular points (or) Singularity of f(z)
Probability and complex function
MA3303 3rd Semester EEE Dept | 2021 Regulation | 3rd Semester EEE Dept 2021 Regulation