The transformation w = C + z, where C is a complex constant, represents a translation.
Some standard transformation
1. Translation :
The transformation w = C + z, where C is a complex constant, represents a translation.
Let z = x + iy
w = u + iv
and C = a + ib
Given W = z + C
i.e., u + iv = x + iy + a + ib
u + iv = (x + a) + i(y + b)
Equating the real and imaginary parts, we get
u = x+a, v = y +b
These two equations may be called the transformation equations. vi

Hence the image of any point p (x, y) in the z-plane is mapped onto the point p '(x+a, y + b) in the w-plane. Similarly every point in the z-plane is mapped onto the w plane.
If we assume that the w-plane is super imposed on the z-plane, we observe that the point (x, y) and hence any figure is shifted by a distance |C| = √a2+b2 in the direction of C i.e., translated by the vector representing C.
Hence this transformation transforms a circle into an equal circle. Also the corresponding regions in the z and w planes will have the same shape, size and orientation.
Problems based on w = z + k
Example 3.4.4 What is the region of the w plane into which the rectangular region in the Z plane bounded by the lines x = 0, y = 0, x = 1 and y = 2 is mapped under the transformation w = z + (2 – i )
Solution: Given: w = z + (2 - i)
i.e., u + iv = x + iy + (2 − i) = (x + 2) + i (y - 1)
Equating the real and imaginary parts u = x + 2, v = y - 1

Hence, the lines x = 0, y = 0, x = 1 and y = 2 are mapped into the lines u = 2, v=-1, u = 3 and v = 1 respectively which form a rectangle in the w plane.
Example 3.4.5. Find the image of the circle |z|= 1 by the transformation W = z + 2 + 4i
Solution: Given: w = z + 2 + 4i
i.e, u + iv = x+ iy + 2 + 4i
= (x + 2) + i (y + 4)
Equating the real and imaginary parts, we get
u = x + 2, v = y + 4
⇒x= u - 2, y = v - 4
Given: | z | = 1
i.e., x2+ y2 = 1
(u − 2)2 + (v - 4)2 = 1
Hence, the circle x2 + y2=1 is mapped into (u - 2)2 + (v - 4)2 = 1 in w plane which is also a circle with centre (2, 4) and radius 1.

2. Magnification
The transformation w = cz, where c is a real constant, represents magnification
i.c., u + iv = c ( x + iy)
u + iv = (cx + i cy)
u = cx, v =cy
.. The image of the point (x, y) is the point (cx, cy).
Hence, the size of any figure in the z-plane is magnified c times, but there will be no change in the shape and orientation. This transformation also transforms circles into circles.
3. Magnification and Rotation
The transformation w = cz, where c is a complex constant, represents both magnification and rotation.

Thus the point (r, θ) in the z-plane is mapped onto the point (ar, θ + α).
This means that the magnitude of the vector representing z is magnified by a = |c| and its direction is rotated through angle α = amp (c). Hence the transformation consists of a magnification and a rotation.
Clearly circles in the z plane are mapped onto circles by this transformation.
Also, every region in the z plane is mapped onto a similar region by this transformation.
Problems based on w = kz
Example 3.4.6. Determine the region 'D' of the w-plane into which the triangular region D enclosed by the lines x = 0, y = 0, x+y=1 is transformed under the transformation w = 2z.
Solution: Let w = u + iv
z = x + iy
Given: w = 2z
u + iv = 2 (x + iy)
u + iv = 2x + i 2y
u = 2x ⇒ x= u/2 v = 2y ⇒ y = v/2

In the z plane the line x=0 is transformed into u = 0 in the w plane
In the z plane the line y=0 is transformed into v=0 in the w plane
In the z plane the line x+y=1 is transformed into u + v = 2 in the w plane

Example 3.4.7. Find the image of the circle | z | = λ under the transformation [Anna, May - 2001]
Solution : Given: w = 5z
| w | = 5 | z |
i.e, | w | = 5 λ [ | z | = λ ]
Hence, the image of | z | = λ in the z plane is transformed into | w |=5λ in the w plane under the transformation w = 5z.
Example 3.4.8. Find the image of the circle | z | = 3 under the transformation w = 2z [A.U N/D 2012] [A.U N/D 2016 R-13]
Solution :
Given: w = 2z, | z | = 3
| w | = (2) | z |
= (2)(3) since | z | = 3
= 6
Hence, the image of | z | = 3 in the z plane is transformed into |w = 6 in the w plane under the transformation w = 2z.
Example 3.4.9. Find the image of the region y > 1 under the transformation w = (1-i) z [Anna, May 1999]
Solution :
w = (1 - i) z
u + iv = (1 - i) (x + iy)
= x + iy - ix + y
= ( x + y ) + i (y - x)
i.e, u = x + y, v = y - x
u + v = 2y u –v = 2x
y = u + v / 2 x = u – v /2
Hence, image region y > 1 is u + v / 2 > 1, i.e., u + v > 2 in the w-plane
4. Magnification, Rotation and Translation
In general linear transformation w = az + b where a and b are complex constants, represents magnification, rotation and translation.
The transformation w = az + b can be considered as the combination w of the two simple transformations
w1 = az and w = w1 + b
w1 = az represents magnification by | a | and rotation through amp (a).
w = w1+b represents translation by the vector representing b.
Thus any figure in the z plane will undergo magnification, rotation and translation by the transformation w = az + b.
In particular, circles will be mapped into circles by this transformation.
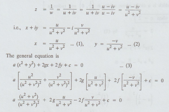
5. Inversion and Reflection [A.U D15/J16 R-08]
The transformation w = 1/z represents inversion w.r.to the unit circle | z | = 1, followed by reflection in the real axis.
w = 1/z
(or) z = 1/w
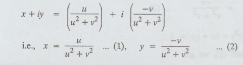
x + iy = 1/ u + iv
x + iy = u - iv / u2 + v2
x = u/ u2 + v2......(1)
y = -v / u2 + v2................(2)
We know that, the general equation of circle in z plane is
x2 + y2 + 2gx + 2fy + c = 0 .......(3)
Substitute, (1) and (2) in (3) we get

i.e., c (u2 + v2) + 2gu − 2 fv + 1 = 0..............(4)
which is the equation of the circle in w plane.
Hence, under the transformation w = 1/z a circle in z plane transforms to another circle in the w plane. When the circle passes through the origin we have c =0 in (3). when c = 0, equation (4) gives a straight line.
Problems based on w = 1/z
Example 3.4.10. Find the image of | z- 2i|= 2 under the transformation w = 1/z [Anna - May 1999, May 2001] [A.U N/D 2016 R-8] [A.U April 2016 R-15 U.D] [A.U A/M 2018 R-17] [A.U A/M 2019 R-17] [A.U N/D 2019 R-17]
Solution :
Given : |z - 2i| = 2... (1) is a circle.
Centre = 2i i.e, (0,2)
Radius = 2
Given: w = 1/z ⇒z = 1/w

⇒1 + 4v2 + 4v + 4u2 = 4 (u2 + v2)
⇒ 1+ 4y = 0
⇒ v = - ¼
which is a straight line in w-plane.
Example 3.4.11.
Find the image of the circle | z-1| = 1
in the complex plane under the mapping w = 1/z
[A.U N/D 2009] [A.U M/J 2016 R-8]
Solution :
Given
: | z - 1| = 1 ... (1) is a circle.san]
Centre
= 1,i.e., (1, 0)
Radius
= 1
Given:
w = ½ ⇒ z = 1/w

⇒ | 1/w - 1| = 1
⇒ |1 – w | = | w |
⇒
|
1- (u + iv) | = | u + iv |
⇒ |1 - u - iv | = | u + iv
|
⇒ √(1 − u)2 +
(-v)2 = √ u2 + v2
⇒ (1 − u)2 + v2 = u2
+ v2
⇒ 1+ u2 - 2u +
v2 = u2 + v2
⇒ 2u = 1
⇒ u = 1/2
which
is a straight line in the w-plane.
Example 3.4.12. Find
the image of the infinite strips (i)1/4
< y < ½ (ii) 0 < y < ½ under the transformation w = 1/z [A.U Tvli.
A/M 2009] [A.U A/M 2017 R8] [A.U A/M 2015 R13, R8]
Solution :
w
= 1/z (given)
i.e.,
z = 1/w
z
= 1/u + iv = u – iv/(u + iv) (u - iv) = u – iv / u2 + v2

(i) Given strip is ¼ < y < 1/2
when y = 1/4
¼
= iv/u2 + v2 by (2)
u2
+ v2 = -4v
u2
+ v2 + 4v = 0
u2
+ (v + 2)2 - 4 = 0
u2
+ (v + 2)2 = 4.... (3)
which
is a circle se centre is at (0, -2) in the w-plane and radius is 2.
when y = 1/2
½
= -v /u2 + v2 by (2)
u2
+ v2 = -2v
u2
+ v2 + 2v = 0
u2
+ (v + 1)2 − 1 = 0
u2
+ (v + 1)2 = 1............ (4)
which is a circle whose centre is at (0, -1) in the w-plane and unit radius.

Hence
the infinite strip ¼ < y < ½ is transformed into the region in between circles
u2 + (v + 1)2 = 1 and u2 + (v + 2)2
= 4 in the w-plane.
(ii)
Given strip is 0 < y < 1/2

when
y = 0
⇒ v = 0 by (2)
when
y = ½ we get u2 + (v + 1)2 = 1 by (4)
Hence,
the infinite strip 0 < y < ½ is mapped into the region outside the circle
u2 + (v + 1)2 = 1 in the lower half of the w-plane.
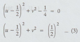
Example 3.4.13. Find
the image of x = 2 under the transformation w= 1/z [Anna May 1998]
Solution:
Given: w = 1/z
i.e.,
z = 1/w
z
= 1 / u + iv = u – iv/(u + iv) (u - iv) = u – iv/u2 + v2

Given:
x = 2 in the z-plane
2
= u/u2 + v2by (1)
2(u2
+ v2) = u
u2
+ v2 - 1/2 u = 0

which
is a circle whose centre is ( ¼ , 0)and radius ¼. x = 2 in the z-plane is
transformed into a circle
(u
– 1/4)2 + v2 = (1/4)2 in the w plane.
Example 3.4.14. What
will be the image of a circle containing the origin (i.e., circle passing
through the origin) in the XY plane under the transformation w = 1/z ? [Anna -
May 2002]
Solution: Given:
w = 1/z
i.e.,
z = 1/w
z
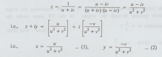
= 1/u + iv = u – iv/ (u + iv)(u - iv) = u – iv /u2 + v2
u2
i.e., x + iy = [ u/u2 + v2 ] + i [ -v/u2 + v2
]
i.e.,
x = u/u2 + v2 ....(1)
y
= -v/u2 + v2 ....(2)
Given:
a (x2 + y2) + bx + cy = 0
Substitute,
(1) and (2), we get

a
+ bu – cv = 0
Therefore
the image of circle passing through the origin in the XY-plane is a straight
line in the w-plane.
Example
3.4.15. Determine the image of 1 < x < 2 under the mapping w = 1/z [Anna
May 2001, April 2017 R-15 U.D]
Solution:
Given: w = 1/z
i.e.,
z = 1/w
z
= 1/ u + iv = u – iv/(u + iv) (u – iv) = u – iv / u2 + v2

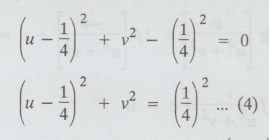
Given
: 1 < x < 2
When
x = 1
1
= u /u2 + v2 by (1)
u2
+ v2 = u
u2 + v2 – u = 0

which
is a circle whose centre is (1/2 , 0)and radius 1/2
when
x = 2
2
= u /u2 + v2 by (1)
2
(u2 + v2) = u
u2 + v2 – u/2 = 0

which
is a circle whose centre is (1/4 , 0) and radius is 1/4
Hence,
the infinite strip 1 < x < 2 is transformed into the region in between
the circles (3) and (4) in the w plane.

Example 3.4.16. Show
that the transformation w = 1/z transforms all circles and straight lines in
the z-plane into circles or straight lines in the w-plane. [A.U. N/D 2007, J/J
2008, N/D 2011] [A.U N/D 2016 R-13] [A.U A/M 2017 R-13] [A.U A/M 2019 R-08]
Solution: Given:
w = 1/z
i.e.,
z = 1/w
Now,
w = u + iv

The
transformed equation is
c
(u2 + v2) + 2gu - 2fv + a = 0 ....(4)
(i) a ≠ 0, c ≠ 0⇒ circles not passing through the origin
in z-plane map into circles not passing through the origin in the w-plane.
(ii)
a ≠ 0, c = 0 ⇒
circles through the origin in z-plane map onto straight lines not through the
origin in the w-plane.
(iii)
a = 0, c ≠ 0 ⇒the
straight lines not through the origin in z-plane map onto circles through the
origin in the w-plane.
(iv)
a = 0, c = 0 ⇒ straight
lines through the origin of z-plane onto straight lines through the origin in
the w-plane.
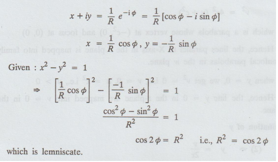
Example 3.4.17. and the
image of the hyperbola x - y = 1 under the transformation w =1/z. [A.U M/J
2010, M/J 2012][A.U N/D 2012]
Solution:
Given: w = 1/z ⇒ z =
1/w
x
+ iy = 1/Reiϕ

cos
2ϕ = R2 i.e., R2 = cos 2ϕ
which
is lemniscate.
Problems based on w = Z2
Example 3.4.18. Discuss
the transformation w = z2 [Anna - May 2001]
Solution :
w = z2
u
+ iv = (x + iy)2 = x2 + (iy)2 + i 2xy = x2
- y2 + i 2xy
i.e.
u = x2 – y2,... (1), v = 2xy ......(2)
Elimination
of x:
(2)
⇒ x = v/ 2y
(1) ⇒
u = (v/2y)2 – y2
u
= v2/4y2 – y2
4uy2
= v2 – 4y4
4uy2
+ 4y4 = v2
y2
[4u + 4y2] = v2
4y2
[u + y2] = v2
v2
= 4y2 (v2 + u)
when
y = c ( ≠ 0), we get
v2
= 4c2 (u + c2)
which is a parabola whose vertex at (-c2,
0) and focus at (0, 0)
Hence,
the lines parallel to X-axis in the z plane is mapped into family of confocal
parabolas in the w plane.
when
y = 0, we get v2 = 0 i.e., v = 0, u = x2 i.e., u > 0
Hence,
the line y = 0 in the z-plane are mapped into v = 0 in the w plane.
Elimination
of y
(2) ⇒
y
= v/2x
(1) ⇒
u = x2 – (v/2x)2
u
=x2 – v2/4x2
v2/4x2
= x2 - u
v2
= (4x2) (x2 - u)
when
x = c (#0), we get v2 = 4c2(c2 – u) = -4c2(u –
c2)
which
is a parabola whose vertex at (c2, 0) and focus at (0, 0) and axis
lies along the u- axis and which is open to the left.
Hence,
the lines parallel to y axis in the z plane are mapped into confocal parabolas
in the w plane when x = 0, we get v2 = 0. i.e., v = 0, u = -y2
i.e., u < 0
i.e.,
the map of the entire y axis is the negative part or the left half of the u axis.
Example 3.4.19. Fad the
image of the hyperbola x2 – y2 = 10 under the transformation
w = z2 if w = u + iv [Anna May 1997]
Solution :
w = z2
u
+ iv = (x + iy)2
= x2 + (iy)2
+ i 2xy
i.e.
u = x2 – y2,... (1)
v = 2xy ......(2)
given
: x2 - y2 = 10
i.e.,
u = 10
Hence,
the image of the hyperbola x2 - y2 = 10 in the z plane is
mapped into u = 10 in the w plane which is a straight line.
Example 3.4.20.
Determine the region of the w plane into which the circl | z-1|= 1 is mapped by
the transformation w = Z2. [Anna, May 2001]
Solution:
In polar form z = reiθ, w = Reiϕ
Given:
|z - 1| = 1
i.e.,
| reiθ -1 | = 1

(1) r2 = (2 cosθ)2
r2
= 4 cos2 θ
=
4 [1+ cos 2θ /2]
r2
= 2 [ 1+ cos 2θ ]
R
= 2 [ 1 + cos ϕ ] by (2)
which
is a Cardioid.
Example 3.4.21. Find
the image under the mapping w = Z2 of the triangular region bounded
by y = 1, x = 1 and x + y = 1 and plot the same. [Anna, Oct., 1997] [A.U A/M
2019 R-13]
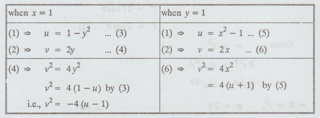
Solution:
In Z-plane given lines are x = 1, y = 1, x + y = 1

Given:
w = z2
u
+ iv = (x + y)2
u
+ iv = x2 – y2 + 2xy i
Equating
the real and imaginary parts, we get
u
= x2 - y2 ...(1)
v
= 2xy .....(2)

when
x + y = 1
(1) ⇒
u
= (x + y) (x − y)
u
= x – y [ x + y = 1]

Example 3.4.22. Prove
that the transformation w = z/1 – z maps the upper half of the z plane into the
upper half of the w plane. What is the image of the circle |z| = 1 under this
transformation. [Anna, May 2001]
Solution :
Given:
| z | = 1 is a circle.
Centre
= 0 i.e., (0, 0)
Radius
= 1
Given:
w = z/1- z
z
= w/ w + 1
|
z | = | w /w + 1| = | w |/|w + 1|
Given
| z | = 1
|
w |/|w + 1| = 1
|
w | = | w + 1 |
|
u + iv | = | u + iv + 1 |

u2
+ v2 = (u + 1)2 + v2
u2
+ v2 = u2 + 2u + 1 + v2
0
= 2u + 1
u
= -1/2
Further
the region | z | < 1 transforms into u > -1/2
Problems based on on
critical points of the transformation
Example 3.4.23. Find
the critical points of the transformation w2 = (z - α) (z - β). [A.U Oct.,
1997] [A.U N/D 2014] [A.U M/J 2016 R-13]
Solution:
Given: w2 = (z - α) (z - β)...(1)
Critical
points occur at dw/dz = 0 and dz/dw = 0
differentiation
of (1) w.r.to z, we get

⇒ w = 0
(z - α) (z - β) = 0
z = α, β
The
critical points are α + β /2 , α and β.
Example 3.4.24. Find
the critical points of the transformation w = z2 + 1/z2 IAU
A/M [A.U A/M 2017 R-13]
Solution:
Given: w = z2 + 1/z2 ....(1)
Critical
points occur at dw/dz = 0 and dz/dw = 0
differentiation
of (1) w.r.to z, we get
dw/dz
= 2z – 2/z3 = 2z4 – 2 /z3

The
critical points are ±1, ±i, 0
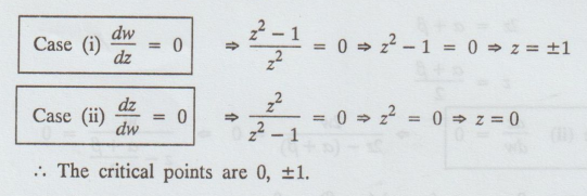
Example 3.4.25. Find
the critical points of the transformation w = z + 1/z
Solution:
Given: w = z + 1/z
Critical
points occur at dw/dz = 0 and dz/dw = 0
differentiation
of (1) w.r.to z, we get
dw/dz
= 1 – 1/z2 = z2 – 1/z2

The
critical points is z = 0, ±1.
Example 3.4.26. Find
the critical points of the transformation w = 1 + 2/z [A.U N/D 2013 R
Solution:
Given: w = 1 + 2/z
Critical
points occur at dw/dz = 0 anddz/dw = 0
differentiation
of (1) w.r.to z, we get
dw/dz
= -2/z2

The
critical point is z = 0
Probability and complex function: Unit III: Analytic functions : Tag: : Solved Example Problems | Analytic functions - Some standard transformation
Probability and complex function
MA3303 3rd Semester EEE Dept | 2021 Regulation | 3rd Semester EEE Dept 2021 Regulation