• The Stoke's theorem relates the line integral to a surface integral. It states that,
Stoke's Theorem
AU: May-09,10, Dec.-10,11,12,13
•
The Stoke's theorem relates the line integral to a surface integral. It states
that,
•
The line integral of
around a closed path L is equal to the integral of
curl of
over the open surface S enclosed by the closed path L.
•
Mathematically it is expressed as,

where dL = Perimeter of total surface S
Key Point :
Stoke's theorem is applicable only when
are continuous on the
surface S. The path L and open surface S enclosed by path L for which Stoke's
theorem is applicable are shown in the Fig. 1.19.1.

•
Consider a surface S which is splitted into number of incremental surfaces.
Each incremental surface is having area AS as shown in the Fig. 1.19.2 (a).

•
Applying definition of the curl to any of these incremental surfaces we can
write,

dLAS
= Perimeter of the incremental surface AS
•
Now the curl of
in the normal direction is the dot product of curl of
with
where
is unit vector, normal to the surface ΔS, according
to right hand rule.
p
• To obtain total curl for every incremental surface, add the closed line integrals for each ΔS. From the Fig. 1.19.2 (b), it can be seen that at a common boundary between the two incremental surfaces, the line integral is getting cancelled as the boundary is getting traced in two opposite directions.
• This happens for all the interior boundaries. Only at the outside boundary cancellation does not exist. Hence summation of all closed line integrals for each and every ΔS ends up in a single closed line integral to be obtained for the outer boundary of the total surface S. Hence the equation (1.19.2) becomes,

where dL = Perimeter of the total surface S
•
Thus line integral can be expressed as a surface integral which proves the
Stake's theorem.
Key Point :
The Stake's theorem is applicable for the open
surface enclosed by the given closed path. Any volume is a closed surface
and hence application of Stake's theorem
to a closed surface which encloses certain volume, produces zero answer.
Ex. 1.19.1 Given that
i) Find
where L is shown in Fig. 1.19.3.
ii) verify Stoke’s theorem. AU: may-09, Marks 8

Sol. : i)
The path of L is shown in the Fig. 1.19.3(a)

Now
split the area inS^o triangles. For the first triangle the equation of line is
y = x hence use dy = x. And x varies from 1 to 0. For the second triangle, the
equation of line is y = - x + 2 hence used dy = - x + 2 and x varies from 2 to
1.

Thus
Stake's theorem is verified
Ex. 1.19.2 If
around the path shown in Fig. 1.19.4. Confirm this using Stoke’s
theorem. AU
: May-10, Marks 8

Sol. :

Ex. 1.19.3

Ex. 1.19.4
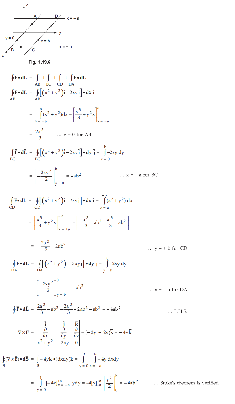
Given that
evaluate both sides of Stoke's theorem for a rectangular path bounded by the
lines x = ± a, y = 0, y = b. AU :
Dec.-12, Marks 10
Sol. :
The path L is shown in the Fig. 1.19.6.

Examples for Practice
Ex.e 1.19.5
Evaluate both sides of the Stoke's
theorem for the field
A/m an^ the rectangular path around the region,
2 ≤ x ≤ 5, -1 ≤ y ≤ 1, z = 0. Let the positive direction of
[Ans.: -126 A]
Ex. 1.19.6
Evaluate both sides of Stoke's theorem
for the field
and the surface r = 3, 0 ≤ 0 ≤ 90o
0 ≤ b ≤ 90o Let the surface have the
direction. [Ans.: 47.1238 A]
Review Question
1.Write a note on
stoke’s theorem. AU: Dec.-10, 13, Marks 4
Electromagnetic Theory: Unit I: (a) Vector Analysis : Tag: : Definition, Formula, Proof, Example Problems - Stoke's Theorem
Electromagnetic Theory
EE3301 3rd Semester EEE Dept | 2021 Regulation | 3rd Semester EEE Dept 2021 Regulation