Taylor's Series - Laurent's Series - Some important Results:
TAYLOR'S AND LAURENT'S SERIES
A
function f(z) analytic inside a circle C with centre at a, can be expanded in
the series

which
is convergent at every point inside C.
Let
y be a circle having z in its interior and concentric with the circle C and
lying inside C, so that f(z) is analytic inside and on y.
Let
ω be any point on y.
We
have |z - ɑ | < | ω - ɑ|

Note
1.
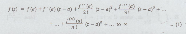
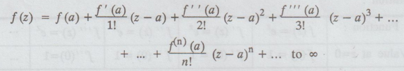
This is Taylor's series about z = a.
Note
2.
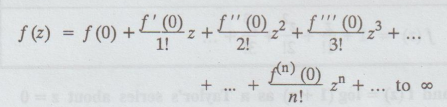
Taking a = 0, Taylor's series reduces to

which
is known as Maclaurin's series.
Note
3.
There is no negative powers of (z - ɑ).
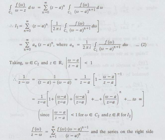
Let
C1, C2 be two concentric circles |z - ɑ| = R1
and |z - ɑ | = R2, where R2 < R1. Let f (z)
be analytic on C1 and C2 and in the annular region. R
between them. Then, for any point z in R,

Let
z be any point in the annulus R. Let y be a small circle with centre z and
radius p lying entirely in R.
Taking
ω as the current variable,
f(ω)
/ ω – z is analytic in the domain bounded
by C1, C2 and y.

Hence,
for ω ∈ C1
and this series coverges absolutely and uniformly for z ∈R and ω ∈ C1
Hence,
term by term integration is valid and we have

and
the series on the right side
converges
absoultely and uniformly for z ∈ R,
ω ∈ C2.
Hence,
term by term integration is valid and, we have

where
an, bn are given by (2) and (3).
I.
Taylor's series
1.
Taylor's series about z = ɑ is

2.
Taylor's series about z = 0 is

II.
Laurent's series

Note
:
1.
If f (z) is analytic inside C2, then the Laurent's series residues
to the Taylor's series of f (z) with centre a, since in this case all the
co-efficients of negative powers in Laurent's are zeros.
2.
The part
consisting of
positive integral powers of (z - ɑ) is called the analytic part of the
Laurent's series, while
consisting of negative integral powers of (z
- ɑ) is called the principal part of the Laurent's series.
3.
As the Taylor's and Laurent's expansions in the given region are unique, they
are not usually found by the theorems given, but by the other simpler methods
such as use of binomial series.
Probability and complex function: Unit IV: Complex integration : Tag: : Some important Results | Complex integration - Taylor's and laurent's series
Probability and complex function
MA3303 3rd Semester EEE Dept | 2021 Regulation | 3rd Semester EEE Dept 2021 Regulation