A p-type gate is then diffused into the n-type channel. In this device, a slab of n-type semiconductor is sandwiched between two layers of p-type material, forming two p-n junctions.
The Pinch-off Voltage Vp
•
The Fig. 3.5.1 shows a single-ended-geometry junction FET. Here, the substrate
is of p-type material onto which an n-type channel is epitaxially grown. A
p-type gate is then diffused into the n-type channel. In this device, a slab of
n-type semiconductor is sandwiched between two layers of p-type material,
forming two p-n junctions.

•
Let us assume that the p-type region is doped with NA acceptors per cubic
meter, n-type region is doped with ND donors per cubic meter and that the
junction formed is abrupt.
•
We know that, if NA » ND we have Wp « Wn and for the space-charge width, WR(x)
= W(x) at a distance x along the channel in Fig. 3.5.2.


where
Ɛ
: Dielectric constant of channel material
q
: Magnitude of electric charge
VO
: Junction contact potential at x
V(x)
: Applied potential across space-charge region at x and is a negative number
for an applied reverse bias
a
- b(x) : Penetration W(x) of depletion region into channel at a point x along
channel
•
When the drain current is zero, b(x) and V(x) are independent of x and b(x) =
b. By substituting b(x) = b = 0 we have

•
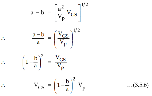
Now solving for V with assumption |V| << |V| we obtain the pinch-off
voltage Vp (the diode reverse voltage that removes all the free charge from
the channel) as
|VP|
= qND / 2E a2 … (3.5.3)
If
we substitute VGS for VO – V(x) and b(x) = b in equation (3.5.1) we get,

From
equation (3.5.3) we have
2E
/ qND = a2 / VP … (3.5.5)
Substituting
equation (3.6.5) in equation (3.6.4) we get,

This
equation shows that the voltage VGS (the reverse bias across the
gate junction) is independent of distance along the channel if ID =
0.
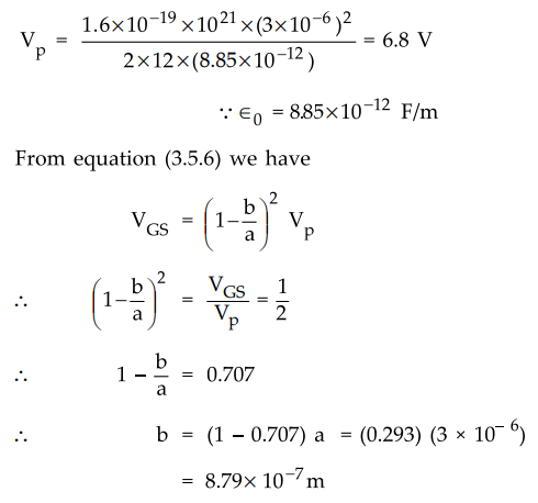
Ex.
3.5.1 For an n-channel silicon FET, find the pinch-off voltage and the channel
half-width.
Assume
: ɑ = 3 × 10-6 m, ND = 1021 electrons/m2,
VGS = ½ Vpv ID = 0 and relative
dielectric constant of silicon = 12.
Sol.
:
Since relative dielectric constant of silicon is 12 we have Ɛ = 12 Ɛ0.
Using values of q and Ɛ0 we have

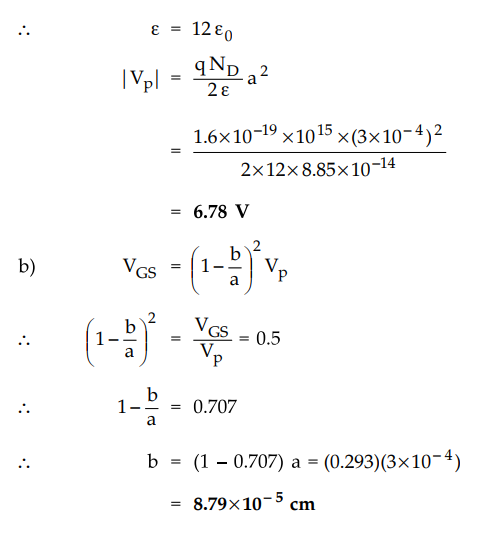
Ex.
3.5.2 For an n-channel silicon FET with a = 3×l0-4 cm and Nd = 1015
electrons/cm-3. Find (a) the pinch off voltage and (b) the channel half-width
for VGS = 0.5 Vp.
AU
: June-16, Marks 6
Sol.
: a) Note that :
Ɛ0
= 8.85 × 10-14 F/cm
q
= 1.6 × 10-19C
Dielectric
constant of silicon = 12

Ex.
3.5.3 Assume that the p+n junction of a uniformly doped silicon n channel JFET
at T = 300 K has doping concentrations of Nɑ = 1018 cm-3
and Nd = 1016 cm-3. Assume that the metallurgical channel
thickness a is 0.7 pm Calculate the pinch off voltage. Also calculate pinch-ojf
voltage if the metallurgical channel thickness a is 0.75 µm
AU
: May-15, Dec.-15, Marks 2
Sol.
:
Here all quantities are in centimeters instead of meters. Channel thickness a=
0.7 ^ti= 0.7 xlO 4 cm. The internal pinch off voltage is given by

Review Question
1. Derive the
expresionfor pinch-off voltage.
AU : Dec.-18
Electron Devices and Circuits: Unit II: (b) Junction Field Effect Transistor (JEET) : Tag: : Solved Example Problems | Junction Field Effect Transistor - The Pinch-off Voltage Vp (JFET)
Electron Devices and Circuits
EC3301 3rd Semester EEE Dept | 2021 Regulation | 3rd Semester EEE Dept 2021 Regulation