The performance of the motor is sometimes expressed interms of comparison of various torques such as full load torque, starting torque and maximum torque.
Torque Ratios
The
performance of the motor is sometimes expressed interms of comparison of
various torques such as full load torque, starting torque and maximum torque.
The comparison is obtained by finding out ratios of these torques.

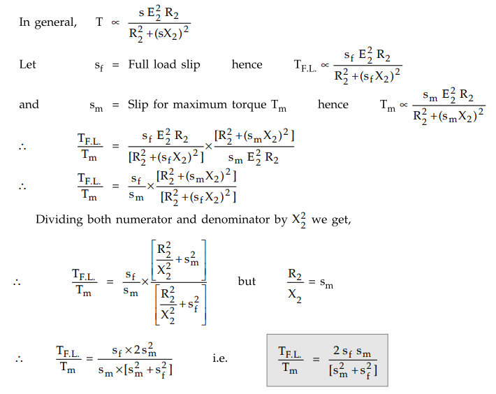
Again
starting with torque equation as,

Infact
using the same method, ratio of any two torques at two different slip values
can be obtained.
Sometimes
using the relation, R2 = aX2 the torque ratios are
expressed interms of constant a as,

Example
5.12.1 A 746 kW, 3-phase, 50 Hz, 16-pole induction
motor has a rotor impedance of (0.02 + j0.15) Ω at standstill. Full load torque
is obtained at 360 r.p.m. Calculate
1)
The ratio of maximum to full-load torque.
2)
The speed at maximum torque and
3)
The rotor resistance to be added to get maximum starting torque.
4)
The ratio of maximum torque to starting torque. AU : May-14, Marks 12
Solution
:

Example
5.12.2 Calculate the torque exerted fey an 8 pole 50
Hz, 3 phase induction motor operating with a 4 % slip which develops a maximum
torque of 150 kgm at a speed of 660 r.p.m. The resistance per phase of the
rotor is 0.5 Ω.
Solution
:

Example
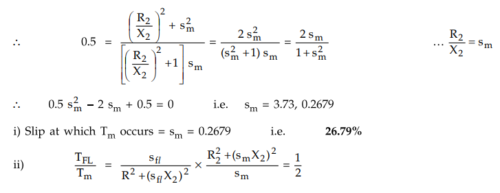
5.12.3 A 3 phase induction motor has a starting torque of
100% and a maximum torque of 200% of the full load torque. Determine :
1)
Slip at which maximum torque occurs;
2)
Full load slip
3)
Rotor current at starting in per unit of full – load rotor current
Soultion

Dividing
numerator and denominator by X22,

Dividing
numerator and denominator by X22,

So
rotor current at start is 3.7345 times full load rotor current.
Examples
for Practice
Example
5.12.5 A 24 pole, 50 Hz, star connected induction motor
has rotor resistance of 0.016 Ω per phase and rotor reactance of 0.265 Ω per
phase at standstill. It is achieving its full load torque at a speed of 247
r.p.m. Calculate the ratio of
i)
Full load torque to maximum torque ii) Starting torque to maximum torque
[Ans.:
i) 0.3824, ii) 0.1203]
Example
5.12.6 A 3-phase, 50 Hz, induction motor has a starting
torque which is 1.25 times full-load torque and a maximum torque which is 2.5
times full-load torque. Neglecting stator resistance and rotational losses and
assuming constant rotor resistance, find i) The slip at full-load ii) The slip
at maximum torque and iii) The rotor current at starting in per unit of
full-load rotor current.
[Ans.:
i) 26.79 %, ii) 1.28,5.5 %, iii) Ist = 4.7673 IFL]
Example
5.12.7 A 8 pole, 50 Hz, 3-phase, induction motor develops a
maximum torque of 150 N-m at 650 r.p.m. The rotor resistance is 0.6 ohm/phase.
Find torque at 4 % slip. Neglect stator impedance.
[Ans.:
82.5854 Nm]
Example
5.12.8 A 3.3 kV, 20 pole, 50 Hz, 3-phase star-connected
induction motor has a slip ring rotor of resistance 0.025 ohm and standstill
reactance of 0.28 ohm per phase. The motor has a speed of 294 r.p.m. when
ful-load torque is applied. Compute slip at maximum torque and the ratio of
maximum to full-load torque. Neglect stator impedance.
[Ans.:
8.92 %, 2.344]
Example
5.12.9 A 6 pole, 50 Hz 3-phase slip-ring induction
motor has a resistance and reactance of 0.5 Ω and 5 Ω per phase respectively.
Calculate i) at what speed the torque is maximum ? ii) The ratio of maximum
torque/starting torque. What must be the external resistance per phase have so
that the starting torque is half of the maximum torque ?
[Ans.:
i) 900 r.p.m. ii) 5.05 iii) 0.839 Ω]
Example
5.12.10 A 6-pole, 3-phase, 50 Hz induction motor runs on
full-load with a slip of 4 percent. The rotor standstill impedance/phase is
(0.01+j 0.05) Ω, calculate the available maximum torque interms of full-load
torque. Also determine the speed at which the maximum torque occurs.
[Ans.: 2.6 Tp £Z 800 r.p.m.]
Example
5.12.11 A 6-pole, 50 Hz, 3^, induction motor has rotor
resistance of 0.2 Q/phase. Maximum torque is 200 N-m at 850 r.p.m. Find
i)
torque at 4 % slip
ii)
additional rotor resistance to get two-thirds of maximum torque at starting.
Neglect stator impedance
[Ans.: 99.56 Nm, 0.3092 Ω]
Example
5.12.12 A 6 pole, 3 phase, 50 Hz induction motor
develops a maximum torque of 30 Nm at 960 r.p.m. Determine the torque exerted
by the motor at 5 % slip. The rotor resistance per phase is 0.6 Ω.
[Ans.:
29.2683 Nm]
Example
5.12.13 A 4 pole, 50 Hz, 7.46 kW motor has, at rated
voltage and frequency, at starting torque of 160 percent and a maximum torque
of 200 percent of full-load torque. Determine : 1) Full-load speed 2) Speed at
maximum torque.
[Ans.:
1299.15 rpm, 750 rpm]
Review Question
1. Derive the following torque ratios in term of slip and rotor
parameters

Electrical Machines II: UNIT III: a. Three Phase Induction Motor : Tag: Engineering Electrical Machines - II : Three Phase Induction Motor - Torque Ratios
Electrical Machines II
EE3405 Machine 2 EM 2 4th Semester EEE Dept | 2021 Regulation | 4th Semester EEE Dept 2021 Regulation