Engineering Electrical Machines - II : UNIT III : Three Phase Induction Motor : Anna University Two Marks Questions & Answers
Two Marks Questions with Answers
Q.
1 Under what condition, the slip in an induction motor is a) Negative b)
Greater than one.
Ans. :
a)
The slip of induction motor is negative when it runs more than the synchronous
speed and acts as a generator.
b)
When the slip of induction motor is greater than one, it runs in a braking mode
and it is rotated in opposite direction to the rotating magnetic field.
2.
What are the two fundamental characteristics of a rotating magnetic field ? AU
: Dec.-04, 1
Ans. :
The
two characteristics of r.m.f. are,
1.
The resultant magnitude of r.m.f. is always constant equal to 1.5 ϕm
where ϕm is maximum amplitude of an individual flux due to any
phase.
2.
It always rotates at a speed equal to synchronous speed in space, given by
Ns
= 120f / P
Q.
3 What measure can be taken for minimizing the effect of crawling in a 3-phase
induction motor ?
Ans. :
The
effect of crawling can be minimized by,
1.
Selecting proper coil span and distribution of coils.
2.
Using skewed rotor.
3.
Chosing proper combination of stator and rotor slots
Q.
4 What is the function of slip-ring in 3-phase induction motor ?
Ans. :
The
slip rings are used in the 3-phase induction motor for connecting external
resistance in the rotor winding to control the various parameters of the motor.
Q.
5 Show that torque in a 3-phase induction motor is directly proportional to
rotor copper loss.
Ans. :
The
torque in a 3-phase induction motor is the ratio of gross mechanical power developed
(Pm) to angular speed (w).
But
for a 3-phase induction motor P2 : Pc : Pm is 1 : s : 1 - s where Pc
denotes the rotor copper losses. Hence Pc / Pm = s / 1-s i.e. Pm = Pc ×
s / 1-s
T
= Pm / w = Pc × (s / 1-s) × 1/w
This
shows that torque in a 3-phase induction motor is directly proportional to
rotor copper loss.
Q. 6 Draw the equivalent circuit of 3-phase induction motor. AU : May-03, Dec.-06


Q.
7 Given the relationship between the following in a 3ϕ I.M. a) Rotor input and
rotor output b) Starting torque and applied voltage.
Ans. :
a)
The rotor output is gross mechanical power developed Pm while the rotor input
is P2. These two are related to each other by P2 / Pm = 1/1-s where s is the slip
b)
The effect of crawling can be minimized by,
1.
Selecting proper coil span and distribution of coils.
2.
Using skewed rotor.
3.
Chosing proper combination of stator and rotor slots
Q.
8 Draw the torque-slip characteristics of 3 phase induction motor when, a) The
voltage is reduced to half the rated value b) Rotor resistance is doubled.
(Refer
sections 5.11 and 5.14) pg 351, 361


Q.
9 State the condition for maximum torque of a three phase induction motor. What
is the maximum torque equal to ?
Ans :
The
condition for maximum torque is that the slip (sm) is,
Sm
= R2 / X2
And
the corresponding magnitude of maximum torque is,

Q.
10 A 3 ϕ, 4 pole, 50 Hz induction motor is running at 1440 r.p.m. Determine the
slip speed and slip.
Ans. :

Q.
ll What is an induction generator ?
Ans. :
When
slip of an induction motor is negative i.e. when the induction motor is made to
run faster than the synchronous speed then it runs as a generator. It is called
as induction generator.
Q.
12 Draw torque-slip curves of double squirrel cage motor. AU : May-05 , Dec.
-17


Q.
13 What is crawling and cogging in induction motor ?
Ans. :
Due
to variation of air gap reluctance there are slot harmonics present in the
induction motor which produce unwanted torques. Out of all the harmonics, 7th
harmonic is dominant and resultant torque can be considered to be the sum of
fundamental torque and 7th harmonic torque. The 7th harmonic component set up a
forward rotating field with a synchronous speed equal to l/7th of the
synchronous speed of the fundamental component. The 7th harmonic torque reaches
its maximum positive value just before l/7th synchronous speed Ns. Due to this,
resultant torque characteristics shows a dip. And a stable operation is
achieved near subsynchronous speed Ns/7. Thus motor does not accelerate upto
its normal speed and will remain running at a speed nearly Ns/7. This is called
crawling due to which stator draws high current with noise and vibrations.
If
number of stator slots S1are equal to number of rotor slots S2
or integral multiple of rotor slots S2 then variation of reluctance as a
function of space will have pronounced effect producing strong forces than the
accelerating torque. Due to this motor fails to start. This phenomenon is
called cogging. This is observed in squirrel cage induction motor. The cogging
can be avoided by selecting proper combination of stator and rotor poles at the
time of design.
Q.
14 What are the purposes that could be served by external resistors connected
in the rotor circuit of phase wound induction motor ?
Ans. :
1.
To increase the starting torque.
2.
To limit the high starting stator current.
3.
To obtain the speed control.
Q.
15 How can the reversal of rotation of polyphase induction motor be attained ? AU
: May-06, 12, Dec.-16
Ans. :
The
direction of rotation of polyphase induction motor can be reversed by reversing
the direction of rotation of rotating magnetic field produced by the stator.
This is achieved by interchanging any two supply terminals while connecting to
the stator.
Q.
16 Write the advantages of slip ring induction motor.
Ans. :
1.
External resistance can be added in the rotor circuit.
2.
Starting torque can be controlled.
3.
Starting current can be limited.
4.
Speed control from the rotor side is possible.
5.
Due to the external resistance, the maximum torque at low speeds can be
achieved.
Q.17
What are the merits of inner and outer cage of double cage induction motor ? AU
: Dec.-06
Ans. :
Merits
of inner cage :
1)
The leakage reactance is high.
2)
The resistance is small.
3)
It operates in running condition.
Merits
of outer cage :
1)
It provides high starting torque.
2)
Its resistance is large limiting starting current at improved power p.f.
Q.
18 Name the type of rotors of induction motors.
Ans. :
1.
Squirrel cage rotor
2.
Wound or slip ring rotor
Q.
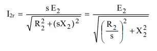
19 From the equivalent circuit of an induction motor, represent which component
is the electrical equivalent of the mechanical load on the motor.
Ans. :
The
rotor current in running condition is given by,

Thus
equivalent rotor circuit in the running condition has fixed reactance X2,
fixed voltage E2 but a variable resistance R2/s, as indicated in the
above equation.

So
the variable rotor resistance R2/s has two parts,
1.
Rotor resistance R2 itself, and
2.
R2 (1 - s)/s which represents load resistance RL.
The
resistance [R2 (l - s)/s] represents electrical equivalent of the
mechanical load on the motor.
Q.
20 Write down the advantages of double cage rotor induction motor over single
squirrel cage motor.
Ans. :
1.
High starting torque
2.
Excellent running performance
3.
Low starting current.
4.
With the proper choice of inner and outer cage parameters, wide range of
torque-slip characteristics can be obtained.
Q.
21 What is locked rotor torque ?
Ans. :
The
minimum amount of torque which an electric motor develops at all angular
positions of rotor, when rated voltage at rated frequency is applied to it at
start is called locked rotor torque.
Q.
22 Why slots on the rotor of induction motor are skewed ? AU : May-08,16,17
Dec.-13, 15
Ans. :
1.
A magnetic hum i.e. noise gets reduced due to skewing hence skewing makes the
motor operation quiter.
2.
It makes the motor operation smooth.
3.
The stator and rotor teeth may get magnetically locked. Such a tendency of
magnetic locking gets reduced due to skewing.
4.
It increases the effective transformation ratio between stator and rotor.
Q.
23 Why the stator core of induction motor made of silicon content steel
stamping ?
Ans. :
For
reducing the hysteresis loss the material the core must be high grade silicon
content steel while the laminated construction using the stampings is used to
reduce the eddy current loss.
Q.
24 A 3 phase induction motor does not run at synchronous speed. Why ? AU :
May-18
Ans. :
If
the rotor of an induction motor catches the speed of the rotating magnetic
field, the relative motion between rotor and the rotating magnetic field will
vanish (Ns - N = 0). So induced e.m.f. will vanish and hence there cannot be
rotor current and the rotor flux which is essential to produce the torque on
the rotor. Eventually motor will stop. But immediately there will exist a
relative motion between rotor and rotating magnetic field and it will start.
But due to inertia of rotor, this does not happen in practice and rotor
continues to rotate with a speed slightly less than the synchronous speed of
the rotating magnetic field in the steady state. Hence a three phase induction
motor never rotates at synchronous speed.
Q.
25 What is rotating magnetic field ? At what speed it rotates ?
Ans. :
The
rotating magnetic field can be defined as the field or flux having constant
amplitude but whose axis is continuously rotating in a plane with a certain
speed. In three phase induction motors such a rotating magnetic field is
produced by supplying currents to a set of three phase stationary windings,
with the help of three phase a.c. supply. It rotates at a speed called
synchronous speed given by,
Ns
= 120f / P = Speed of R.M.F.
where f = Supply frequency in Hz and P =
Number of poles
Q.
26 On which factors the speed of rotating magnetic field depends ?
Ans. :
The
speed of rotating magnetic field depends on the supply frequency and the number
of pole for which winding is wound.
Q.
27 For a machine having 4 poles, find the speed of rotating magnetic field if
it is excited by 50 Hz supply.
Ans. :

Q.
28 What is slip of an induction motor ? State its expression.
Ans. :
The
slip of the induction motor is defined as the difference between the
synchronous speed (Ns) and actual speed of rotor i.e. motor (N)
expressed as a fraction of the synchronous speed (Ns). The
percentage slip is expressed as,
... (Percentage slip)
Q.
29 What is the slip at start ? How slip affects the rotor frequency ?
Ans. :
At
start the speed of the induction motor is zero hence the slip is unity. Due to
the slip the rotor frequency is much less than the supply frequency. The
relation between the two is given by,
fr = s f
Thus
frequency of rotor induced e.m.f. in running condition (fr) is slip times the
supply frequency (f).
Q.
30 State the effect of slip on the various rotor parameters.
Ans. :
The
effect of slip on the various rotor parameters is,

Electrical Machines II: UNIT III: a. Three Phase Induction Motor : Tag: Engineering Electrical Machines - II : Three Phase Induction Motor | Electrical Machines - Two Marks Questions with Answers
Electrical Machines II
EE3405 Machine 2 EM 2 4th Semester EEE Dept | 2021 Regulation | 4th Semester EEE Dept 2021 Regulation