Electromagnetic Theory: Unit I: (a) Vector Analysis : Two Marks Questions with Answers
Two Marks
Questions with Answers
Q. 1 What is a scalar quantify ?
Ans. :
A scalar is a quantity which is
wholly characterized by its magnitude. The various examples of scalar quantity
are temperature, mass, volume, density, speed, electric charge etc.
Q. 2 What is a vector quantify ?
Ans. :
A vector is a quantity which is
characterized by both, a magnitude and a direction. The various examples of
vector quantity are force, velocity, displacement, electric field intensity,
magnetic field intensity, acceleration etc.
Q. 3 What is a scalar field ? Give its two examples.
Ans. :
A field is a region in which a particular physical function has a value at each
and every point in that region. The distribution of a scalar quantity with a
definite position in a space is called scalar field. For example the
temperature of atmosphere, sound intensity in an auditorium, light intensity in
a room, atmospheric pressure in a given region etc.
Q. 4 What is a vector field ? Give its two examples.
Ans. :
If a quantity which is specified in a region to define a field is a vector then
the corresponding field is called a vector
field. For example the gravitational force on a mass in a space, the
velocity of particles in a moving fluid, wind velocity of atmosphere, voltage
gradient in a cable, displacement of a flying bird in a space, magnetic field
existing from north to south field etc.
Q. 5 What are the sources of electromagnetic fields ?AU:
May-11,13,17,19, Dec.-14
Ans. :
The main sources of electromagnetic fields are moving charges producing current
and current carrying conductors producing magnetic fields. The various
practical sources producing such electromagnetic fields are mobile phones,
overhead power lines, computers, mobile communication base stations etc.
Q. 6 State the elementary vector lengths in three co-ordinate systems.
Ans. :
In cartesian system the elementary vector length is 
In
cylindrical system it is given as 
While
in spherical system it is given as 
Q. 7 State the uarious differential surface elements in cartesian
co-ordinate system.
Ans. :
The various differential surface elements in cartesian co-ordinate system
are,

Q. 8 State the expressions for differential volume element in three
co-ordinate systems.
Ans. :
In cartesian system the differential volume element is dv = dx dy dz.
In
cylindrical system it is given as dv = r dr dϕ dz
While
in spherical system it is given as dv = r2 sin θ dr dθ dϕ.
Q. 9 State the uarious differential surface elements in cylindrical
co-ordinate system.
Ans. : The various differential surface
elements in cartesian co-ordinate system
are,

Q. 10 How the unit vectors are defined in cylindrical co-ordinate systems ?
Ans. :
The
lies in a plane parallel to the xy plane and is perpendicular to the
surface of the cylinder at a given point, coming radially outward. The unit
vector
lies also in a plane parallel to the xy plane but it is tangent to
the cylinder and pointing in a direction of increasing at the given point. The
unit vector
is parallel to z axis and directed towards increasing z.
Q. 11 What is unit vector ? What is its function while representing a vector
? (Refer
section 1.3.1)
Q. 12 Sketch a differential volume element in cylindrical co-ordinates
resulting from differential changes in three orthogonal co-ordinate directions.
(Refer section 1.7)
Q. 13 Give the relation between Cartesian and cylindrical co-ordinate
systems.
(Refer section 1.7.3)
Q. 14 How the unit vectors are defined in spherical co-ordinate systems ?
Ans. :
The unit vector
is directed from the centre of the sphere i.e. origin to
the given point P. It is directed radially outward, normal to the sphere. It
lies in the cone θ = Constant and plane ϕ = Constant. The unit vector
is
tangent to the sphere and oriented in the direction of increasing θ. It is
normal to the conical surface. The third unit vector
is tangent to the
sphere and also tangent to the conical surface. It is oriented in the direction
of increasing ϕ. It is same as defined in the cylindrical coordinate system.
Q. 15 Sketch a differential volume element in spherical co-ordinates
resulting from differential changes in three orthogonal co-ordinate directions.
(Refer section 1.8)
Q. 16 State the differential lengths in cylindrical co-ordinate system.
Ans. :
The differential lengths in cylindrical co-ordinate system are,
dr = Differential length in r direction
r
dϕ = Differential length in ϕ direction
dz
= Differential length in z direction
Q. 17 State the differential lengths in spherical co-ordinate system.
Ans. :
The differential lengths in spherical co-ordinate system are,
dr = Differential length in r direction
r
dθ = Differential length in θ direction
r
sin θ dϕ = Differential length in ϕ direction
Q. 18 Give the relation between cartesian and spherical co-ordinate systems. (Refer
section 1.8.3)
Q. 19 Give the differential displacement and volume in spherical co-ordinate
system. AU: Dec.-15
Ans. :
The differential displacement in spherial system is
while differential volume is
dv
= r2 sin θ dr dθ dϕ
Q. 20 Define vector or cross product of two vectors. (Refer section 1.11)
Q. 21 State the applications of dot product. (Refer section 1.10.2)
Q. 22 State any four properties of cross product. (Refer section 1.11.1)
Q. 23 Define scalar triple product.
Ans. :
The scalar tripple product is defined as,

Q. 24 Define vector triple product.
Ans. :
The vector tripple product is defined as,

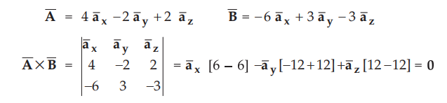
Q. 25 Given
Show that the vectors are orthogonal.AU:
May-15
Ans. :
(4)(-2) + (6)(4) + (-2)(8) = 0
As
dot product is zero, the two vectors are perpendicular i.e. orthogonal.
Q. 26 Express in matrix form the unit vector transformation from the
rectangular to cylindrical co-ordinate system. AU : May-15

Q. 27 Define line integral. (Refer section 1.14.1)
Q.28 Define surface integral. (Refer section 1.14.2)
Q.29 Define volume integral. (Refer section 1.14.3 )
Q.30 State stoke’s theorem. AU: May-04,06,10,12,14,17, Dec.-07,09,13,16
Ans. :
The line integral of
around a closed path L is equal to the integral of
curl of
over the open surface S enclosed by the closed path L.
Mathematically
it is expressed as,

where dL = Perimeter of total surface S
Q. 31 Explain the terms irrotational and solenoidal as applied to vector
AU:
Dec.-04,12,May-19.
Ans. :
Curl indicates the rotational property of vector field. If curl of vector is
zero, the vector field is irrotational. The vector field having its divergence
zero is called solenoidal field.

Q. 32 State divergence theorem. AU: Dec.-06, 11, 14; May-07, 09, May-11
Ans. :
The Divergence theorem states that,
The
integral of the normal component of any vector field over a closed surface is
equal to the integral of the divergence of this vector field throughout the
volume enclosed by that closed surface. Mathematically it is given by,

Q. 33 Define divergence of a vector. AU : Dec.-11
Ans.:
Mathematically divergence is defined
as the net outward flow of the flux per unit volume over a closed incremental
surface. It is denoted as div
and given by,

where ΔS = Differential volume element
Divergence
of vector field
at a point P is the outward flux per unit volume as the
volume shrinks about point P i.e. lim ΔV
→ 0 representing differential volume
element at point P.
Symbolically
it is denoted as, 
Q. 34 What is gradient of a scalar ? State the gradient in three co-ordinate
systems.AU: Dec.-17
Ans. :
The operation of the vector operator del (
) on a scalar function is called
gradient of a scalar. Gradient of a scalar is a vector.
The
gradient of a scalar W in various co-ordinate systems are given by,

Q. 35 State the properties of gradient of a scalar. (Refer section
1.17.1)
Q. 36
State the divergence of a vector in three co-ordinate systems.
Ans. :
The divergence of a vector
in three co-ordinate systems is,

Q. 37 State the curl of a vector in three co-ordinate systems.
Ans. :
The curl of a vector
in three co-ordinate systems is,

Q. 38 Give practical examples for diverging and curling fields.AU: May-08
Ans. :
The flux leaving from an isolated positive charge, flow of heat in a field of
varying temperature, air velocity of air flowing out from a punctured tube,
velocity of gas flowing out from a hole in a gas balloon are the examples of
diverging fields. Magnetic field surrounding the current carrying wire, water
velocity in a river, velocity of a rigid body rotating about a fixed axis like
a top are the examples of curling fields.
Q. 39 Mention the criteria for choosing an appropriate co-ordinate system for
solving a field problem easily. Explain with an examples. AU: May-07
Ans. :
A proper co-ordinate system selection is important for easily solving the field
problem. Choosing a proper co-ordinate system can save work and time required
for solving the problem.
The
criteria for selecting an appropriate co-ordinate system depends on the nature
of charge and the distribution of the field.
The
point charges are located at points and force exerted on each other is along a
line. The line charges are located along the lines. For such cases Cartesian
system is proper choice.
For
cylindrical conductors and cylindrical surfaces, cables the cylindrical
co-ordinate system is preferred.
While
for the field distribution in all directions like that of antenna occupying the
entire space, spherical conductors, a spherical co-ordinate system is much more
easier than other systems.
Q. 40 Convert the given rectangular co-ordinate A (x = 2, y = 3, z = 1) into
the corresponding cylindrical co-ordinate.
Ans. :
x = 2, y = 3, z = l
τ
= √x2 + y2 = √22 + 32 = √13
ϕ
= tan-1y/x = tan-13/2= 56.309o and z = z = 1
In cylindrical co-ordinates, A (√l3, 56.309°,
1).
Q. 41 Given points A (x = 2, y = 3, z = -1) and B (ρ = 4, ϕ = - 50°, z = 2)
find the distance from A to B.
Ans.
: A(x = 2, y = 3, z = -l) B(ρ = 4, ϕ = - 50°, z = 2)
Convert
B into cartesian co-ordinates.
x
= ρ cos ϕ= 2.5711, y = ρ sin ϕ = - 3.0641, z = z = 2
AB
= √(2- 2.5711)2 + (3 - (- 3.064)2 + [- 1 - 2]2
= 6.7896
Q. 42 Find the distance between the points (ρ1, ϕ1,z1)
and (ρ2,ϕ2, z2)


Q. 44 Prove that curl grad ϕ = 0. AU: May-09

Q. 45 Verify that the vectors
are parallel to each
other.AU: Dec.-09
Ans. :
The two vectors are parallel if their cross product is zero.

Thus
the vectors are parallel to each other.

Q. 47 Obtain in the cylindrical co-ordinate system the gradient of the
function f(r, ϕ, z) = 5r4z3 sin ϕ+ cos ϕ+Z2
AU : May-12
Ans. :
In cylindrical co-ordinates, gradient is

Q. 48 Two vectorial quantities
are known to be
oriented in two unique directions. Determine the angular separation between them.AU: Dec.-12

Q.
49 Convert the point P(3, 4, 5) from
cartesian to spherical co-ordinates.AU : Dec.-06
Ans.:

Q. 50 State the physical significance of curl of a vector field. AU:
May-13
Ans. : The curl is a closed
line integral per unit area as the area shrinks to a point. It gives the
circulation per unit area i.e. circulation density of a vector about a point at
which the area is going to shrink. Thus curl of a vector at a point quantifies
the circulation of a vector around that point. In general if there is no
rotation, there is no curl while large angular velocities means greater values
of curl. The curl also gives the direction, which is along the axis through a
point at which curl is defined. The water velocity in a river, magnetic field
lines due to current carrying conductor, the body rotating about a fixed axis
are the practical examples of curl.
Q. 51 Obtain in the cylindrical co-ordinate system the gradient of the
function: f(r, ϕ, z) = 5r4z3 sin ϕ AU: May-14
Ans. :
In cylindrical system,

Q. 52 Points P and Q are located at (0, 2, 4) and (-3, 1, 5). Calculate the
distance vector form P to Q. AU: Dec-14
Ans.: 
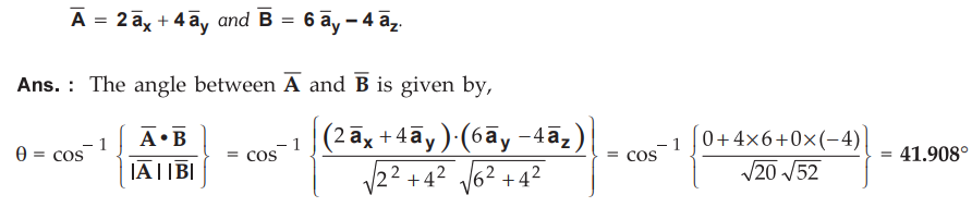
Q. 53 Determine the angle between

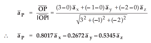
Q. 54 Find the unit vector
extending from the orgin towards the point P (3,-1,-22).
AU : May-18
Sol. :

Q. 55 Convert the given point (2,π/2, π /3) in spherical coordinates into
cartesian coordinates. AU: Dec.-18
Ans. :
r = 2, θ = π/2 = 90°, ϕ = π/3 = 60°, x = r sin θ cos ϕ = 1
y
= r sin θ sin ϕ = 1.732, r = r cos θ = 0
Cartesian
: (1, 1.732, 0)
Q. 56 Given vector field
. Find this vector field at P(2,
3, 1) and its projection on . AU: Dec.-19

Electromagnetic Theory: Unit I: (a) Vector Analysis : Tag: : Vector Analysis | Electromagnetic Theory - Two Marks Questions with Answers
Electromagnetic Theory
EE3301 3rd Semester EEE Dept | 2021 Regulation | 3rd Semester EEE Dept 2021 Regulation