Electromagnetic Theory: Unit I: (b) Coulomb's Law and Electric Field Intensity : Two Marks Questions with Answers
Two Marks Questions with Answers
Q.
l Define Coulomb’s law.
AU
: Dec.-05, 09, 14, 17,19, May-08
Ans.
:
The Coulomb's law states that force between the two point charges Q1
and Q2,
1.
acts along the line joining the two point charges.
2.
is directly proportional to the product (Q1Q2) of the two
charges.
3.
is inversely proportional to the square of the distance between them.
The
Coulomb's law also states that this force depends on the medium in which the
point charges are located. The effect of medium is introduced in the equation
of force as a constant of proportionality denoted as k.
F = k = Q1Q2 / R2 where
k
= Constant of proportionality
To
satisfy Coulomb’s law, the constant of proportionality is defined as,
k
= 1 / 4πƐ
where
Ɛ = Permittivity of the medium in which charges are located and the units of Ɛ
are farads/meter (F/m).
Q.2
State the Coulomb's law in vector form.
Ans.
:
Consider the two point charges Q1 and Q2 located at the
points having position vectors
as shown in the Fig. 2.9.1.

Then
the force exerted by Q1 on Q2 acts along the direction
is unit vector along
.
Hence
the force in the vector form can be expressed as,

Q.
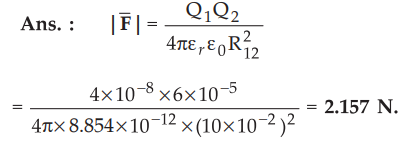
3 Find the force of interaction between two charges 4 × 10-8 and 6
×10-5 spaced 10 cm apart in kerosene (Ɛr = 2.0)

Q.4
What are the types of charge distributions ? Give one example of each.
Ans.
:
There are 4 types of charge distributions, namely
a)
Line charge
b)
Point charge
c)
Surface charge
d)
Volume charge
An
electron or a proton is an example of point charge. A sharp beam in a cathode
ray tube or a charged circular loop are the examples of line charge. A plate of
a charged parallel plate capacitor is an example of surface charge while a
charged cloud is an example of volume charge distribution.
Q.5
Define point charge.
Ans.
: A point charge means that electric charge which is
spreaded on a surface or space whose geometrical dimensions are very very small
compared to the other dimensions, in which the effect of its electric field is
to be studied. Thus a point charge has a location but not the dimensions. A
charge can be a positive or negative.
Q.6
Define line charge.
Ans.
:
If the charge is uniformly distributed along a line, it is called line charge.
The line may be finite or infinite. The line charge density is the ratio of
total charge in coulomb to total length in meters, denoted as ρL expressed in
C/m.
Q.7
Define surface charge.
Ans.
:
If the charge is distributed uniformly over a two dimensional surface then it
is called surface charge. The surface charge density is defined as charge per
unit area, denoted as ρs expressed in C/m2.
Q.8
Define volume charge.
Ans.
: If
the charge is distributed uniformly over a volume then it is called as a volume
charge. The volume charge density is defined as charge per unit volume, denoted
as ρv expressed in C/m3.
Q.9
Give the principle of superposition.
AU
: Dec.-O2, 04
Ans.
:
If a system consists of n point charges
namely
Q1, Q2, Q3,
…. Qn, then the force on any other charge Q is given by the vector
sum of all the individual forces produced by n charges on the charge Q,
according to Coulombs law.
In
general if there are n other charges then force exerted on charge Q due to all
other n charges is given by,

Q.10
Define electric field intensify.
Ans.
:
There exists a region around a charge in which it exerts a force on any other
charge. This region where a particular charge exerts a force on any other
charge located in that region is called electric field of that charge. It is
defined as the force exerted per unit charge. It is a vector quantity.
Q.
11 Give the formula for electric field intensify at a point P due to ‘n’ number
of point charges.
AU
: May-07,16
Ans.
:
Consider n charges Q1, Q2,
Q3, …. Qn. The combined electric field intensity is to be
obtained at point P. The distances of point P from Q1, Q2, …. Qn, are R1, R2, …. Qn, respectively.
The unit vectors along these directions are
respectively. Then the total electric field
intensity at point P is the vector sum of the individual field intensities
produced by the various charges at the point P.

Q.12
Write the formula for electric field intensify due to infinite line charge.
Ans.
:
The electric field intensity due to infinite line charge is given by,

where
r = Perpendicular distance of point at which
is to be obtained,
from the line charge and
= Unit vector in the direction of the
perpendicular distance of point at which
is to be obtained, from
the line charge.
Q.13
Give the electric field intensify due to line charge.
Ans.
:
The totald
at a point due to line charge can be obtained by
integrating d
over the length of the line charge.

Where
= Electric field intensity due to line charge, ρL = Line charge
density
R
= Distance between point and small element dZ of line charge
= Unit vector in the direction of R
Q.14
Giue the electric field intensify due to surface charge.
Ans.
:
The total
at a point due to surface charge is to be obtained by
integrating
over the surface area on which charge is
distributed. Note that this will be a double integration.

The
and dS to be obtained according to the position of the sheet of
charge and the co-ordinate system used.
Q.15
Write the electric field intensify due to volume charge.
Ans.
:
The total
at a point due to volume charge is to be obtained by
integrating d
over the volume in which charge is accumulated. Note
that this integration will be a triple integration.

The
and dv must be obtained according to the co-ordinate system used.
Q.16
Giue the electric field intensify due to charged circular ring placed in x-y
plane, at a point on its axis at a distance z.
Ans.
:
The electric field at a point (0, 0, z) due to the circular ring of radius r
placed in xy plane is given by,

where r = Radius of the ring
z
= Perpendicular distance of point from the ring along the axis of the ring
Q.17
Give the electric field intensify due to infinite sheet of charge.
Ans.
:
The electric field due to infinite sheet of charge is everywhere normal to the
surface and its magnitude is independent of the distance of a point from the
plane containing the sheet of charge.
It
is given by,

Q.18
Give the electric field intensify due to charged circular disc with uniform
charge density ρs at a distance 'h' on its axis.
Ans.
:
The electric field intensity due to charged circular disc with uniform charge
density ρS at a distance 'h' on its axis is given by,

where
'a' is the radius of the disc and
is the unit vector along the
direction of the axis of the ring.
Q.19
Mention any two sources of electromagnetic field.
AU
: May-08
Ans.
:
The signals transmitted and received by antenna and signals used in optical
fibre communication are the sources of electromagnetic field.
Q.20
A uniform surface charge of ps =2µ C/m2 is situated at z = 2 plane. What is the
value of electric field intensify at P (1,1,1) ?
Ans.
:
ρs = 2 µC/m2 , z = 2 plane.
The
plane is shown in the Fig. 2.9.2. The point P (1, 1, 1) is located below the
plane hence


Q.21
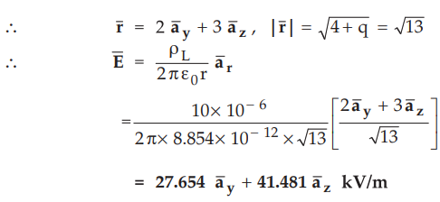
A uniform line charge with p|_ = 10 µC/m lies along x-axis. Find
at
(5, 2, 3).
Ans.
: P
(5, 2, 3) and point on line charge (x, 0, 0). As line charge is parallel to
x-axis, do not consider x co-ordinate while obtaining ![]()

Q.22
What is the electric field intensity at a distance of 20 cm from a charge of 2
µC in vacuum ?
AU
: Dec.-15
Ans.
:

Q.23
Find
at (0, 0, 2) m due to charged circular disc in x-y plane with ρs
= 20 nC/ m2 and radius 1 m.
Ans
. :

Q.24 If the electric field is 200 V/m at a distance of 2 m from the point charge Q,then find Q, in free space.
Ans. :

Q.25
State the principle of superposition of fields.
AU
: Dec.-14
Ans.
:
If there are 'n' charges Q1, Q2 … Qn present
in the system then the total electric field intensity at a point is the vector
sum of the individual field intensities produced by the various charges at that
point, considering an individual charge acting at that point independently,

Q.26
A novel printing technique is based upon electrostatic deflection principle.
Justify.
AU
: Dec.-15
Ans.
:
A novel printing technology is nothing but an ink-jet printer. The Fig. 2.9.3
shows basic construction of ink-jet printer. The nozzel vibrating at ultrasonic
frequency sprays ink in the form of droplets. These droplets pass through
charged plates and acquire charge proportional to the input character. While
passing through vertical deflection plates which are at fixed voltage, the
droplets deflect vertically proportional to the charge. This is similar to
electrostatic deflection of an electron beam in an odlloscope. Thus it is said
that a novel printing technology is based upon electrostatic deflection
principle.

Q.27
What is the effect of permittivity on the force between two charges?
AU
: May-19
Ans. : The force between two charges is inversely proportional to the permittivity as per the Coloumb's law. As permittivity increases, the force between the charges decreases.
Electromagnetic Theory: Unit I: (b) Coulombs Law and Electric Field Intensity : Tag: : Coulomb's Law and Electric Field Intensity | Electromagnetic Theory - Two Marks Questions with Answers
Electromagnetic Theory
EE3301 3rd Semester EEE Dept | 2021 Regulation | 3rd Semester EEE Dept 2021 Regulation