Electromagnetic Theory: Unit I: (c) Gauss's Law and Applications : Two Marks Questions with Answers
Two Marks Questions with Answers
Q.1
Define electric flux and electric flux density.
Ans.
:
The total number of lines of force in any particular electric field is called
the electric flux. It is represented by the symbol ψ Similar to the charge,
unit of electric flux is also coulomb C. The net flux passing normal through
the unit surface area is called the electric flux density. It is denoted as
. It has a specific direction which is normal to the surface area under consideration
hence it is a vector field.
Q.2
Express the electric flux density at a point in a field in a vector form.
Ans.
: The flux density
at a point in a field can be represented in the
vector form as,

where
d ψ = Total flux lines crossing normal through the differential area dS
dS
= Differential surface area
= Unit vector in the direction normal to
the differential surface area
Q.3
Define electric flux density at a point due to a point charge Q.
Ans.
:
In the vector form, electric flux density at a point which is at a distance of
r, from the point charge + Q is given by,

where
is the unit vector in the direction of ![]()
Q.4
State the relationship between electric field intensity and electric flux
density.
Ans.
:
The electric flux density
and electric filed intensity
are related through the permittivity. If the medium in which charge is located
has relative permittivity Ɛr then,

Q.5
State Gauss's law.
AU
: May-03, 05, 16, Dec.-07
Ans.
:
The Gauss's law states that "The electric flux passing through any closed
surface is equal to the total charge enclosed by that surface'. Mathematically
it is expressed as,

Q.6
What is Gaussian surface ? What conditions it must satisfy ?
Ans.
:
The surface over which the Gauss's law is applied is called Gaussian surface.
Obviously such a surface is a closed surface and it has to satisfy following
conditions :
1.
The surface may be irregular but should be sufficiently large so as to enclose
the entire charge.
2.
The surface must be closed.
3.
At each point of the surface
is either normal or tangential to the
surface.
4.
The electric flux density D is constant over the surface at which
is normal.
Q.7
State the applications of Gauss's law.
AU
: Dec.-04, 13
Ans.
: The Gauss's law is used to find
in the following cases,
i)
Point charge
ii)
Surface charge
iii)
Co-axial cable
iv)
Spherical shell of charge
v)
Uniformly charged sphere
Q.8
State and sketch the variation of
against the radial distance r
measured from the origin for the spherical shell of radius 'a'.
Ans.
:

Q.9
Sketch the variation of
against the radial distance r for a
uniformly charged sphere of radius 'a'.
(Refer
Fig. 3.7.10 on the page 3-16)
Q.10
State the physical significance of divergence of a vector field.
Ans.
: The
divergence of a vector field Ā is the outflow of the quantity
represented by Ā, from a small closed surface per unit volume as the
volume shrinks to zero.
Hence
the divergence of Ā at a given point is a measure of how much the
field represented by Ā diverges or converges from that point. If the
field is diverging at point P of vector field Ā, then divergence of Ā
at that point P is positive. The field
is spreading out from that point. If the field is converging at the point P,
then the divergence of A at the point P is negative. It is practically a
convergence i.e. negative of divergence. If the field at point P is such that
whatever field is converging, same is diverging from that point P, then the
divergence of Ā at point P is zero.
A
positive divergence for any vector quantity indicates a source of that vector
quantity at that point. A negative divergence for any vector quantity indicates
a sink of that vector quantity at that point. A zero divergence indicates there
is no source or sink exists at that point.
Q.11
Sketch the variation of
against r for a spherical shell of radius 'a'.
(Refer
Fig. 3.7.7 on page 3-14)
Q.12
State the point form of Gauss's law. Hence state the Maxwell’s first equation.
Ans.
:
The statement of Gauss's law in point form is,
The
divergence of electric flux density in a medium at a point (differential volume
shrinking to zero), is equal to the volume charge density (charge per unit
volume) at the same point.
The
Maxwell's first equation is,

Q.13
State Divergence theorem.
Ans.
:
The divergence theorem can be state as,
The
integral of the normal component of any vector field over a closed surface is
equal to the integral of the divergence of this vector field throughout the
volume enclosed by that closed surface. Mathematically it is expressed as,

Q.14
Why Gauss’s law cannot be applied to determine the electric field due to finite
line charge ?
AU
: Dec.-08
Ans.
:
The Gauss's law cannot be used to find
if the charge distribution
is not symmetric. The charge distribution is said to be symmetric if the
resultant direction of
is along only one direction. For example the
electric field of infinite line charge is only along cylindrical radial
direction
. But electric field of the finite line charge has
components present in x and y directions and not along any one direction. Hence
an electric field of the finite line charge is not symmetrical and hence
Gauss’s law can not be applied to it.
Q.15
Show by using Gauss’s law : 
AU
: Dec.-03, May-06
Ans.
:
Consider charge Q at the origin and
is to be obtained at P, as
shown in the Fig. 3.11.2.

The D is directed outward in
direction. The Gaussian surface is considered satisfying the required
conditions.
Consider
dS at point P and spherical co-ordinate system.

Q.16
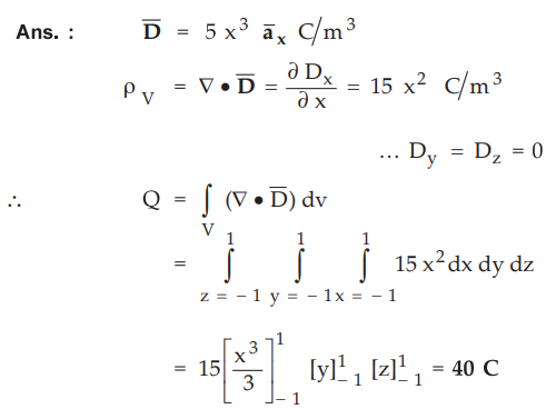
Find the total charge enclosed by a cube of 2 m side, centered at the origin
with the edges parallel to the axes when
over the cube is 
Ans.
:

Q.17
Find the electric field intensity in free space if 
AU
: May-15,18
Ans.
:

Q.18
A uniform surface charge density pS = 5 nClm2 is situated at x = 2 m plane.
What is
at (3, 1, 1) m ?
Ans.
:

Q.19
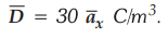
A spherical shell of charge density ρs = 2 nC/m2 has a radius r = 3
m. Find
at r = 6 m. and r = 1 m.
Ans.
:
The
for spherical shell of radius ’a’ for r > a is,

Q.20
A uniformly charged shpere of radius 2 m has charge density of 20 nC/m2. Find
at r = 5 m.
Ans.
:

Q.21
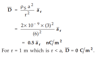
A uniform surface charge of p§ =2pC/m2 is situated at z = 2 plane. What is the
value of flux density at P (1,1,1) ?
Ans.
:
ρS = 2µ C/m2, P(l, 1, 1), z = 2 plane
The
point is below the plane hence

Q.22
What are symmetrical charge distributions ?
AU
; May-09
Ans.
:
A symmetrical charge distribution is the one whose field varies in one
direction, thus its
is a function of only one variable. Similarly the
charge density is uniform throughout the surface and at each point of the
surface,
is either normal or tangential to the surface. The
is constant over the surface at which
is normal.
Q.23
Show that
in the case of a point charge.
Ans.
:

Q.24
State the properties of electric flux lines.
AU
: May-13,18, Dec.-14
Ans.
:
1.
The flux lines start from positive charge and terminate on the negative charge.
2.
If the negative charge is absent, the flux lines terminate at infinity. While
if positive charge is absent, the flux lines terminate on negative charge from
infinity.
3. The flux lines are parallel and never cross
each other.
4.
More are the flux lines if electric field is more strong.
5.
The flux lines are independent of the medium in which charges are placed.
6.
The flux lines enter or leave the charged surface, normally.
Q.25
Determine the electric flux density at a distance of 20 cm due to an infinite
sheet of uniform charge 20yC/m2 lying on the z = 0 plane.
AU
: Dec.-14,18
Ans.
:

Q.26
Find the magnitude of D for a dielectric material in which E = 0.15 MV/m and Ɛr
= 5.25.
AU
: Dec.-16
Ans.
:
|
D | = Ɛ | E | = Ɛ0 Ɛr | E |
=
8.854 × 10-12 × 5.25 × 0.15 × 106= 6.9725 µC/m2
Electromagnetic Theory: Unit I: (c) Gauss Law and Applications : Tag: : Gauss's Law and Applications | Electromagnetic Theory - Two Marks Questions with Answers
Electromagnetic Theory
EE3301 3rd Semester EEE Dept | 2021 Regulation | 3rd Semester EEE Dept 2021 Regulation