Electromagnetic Theory: Unit II: (a) Electric Work Potential and Energy : Two Marks Questions with Answers
Two Marks Questions with Answers
Q.1
Define potential. AU : May-04, 10, Dec.-14
Ans.
:
The potential at any point in an electric field is defined as the work done in
moving a unit test charge from the infinity (or reference point at which
potential is zero) to the point under consideration, against the direction of
the field.
Q.2
Distinguish between potential and potential difference.
AU
: May-04, Dec.-06,12,13,14
Ans.
:
The potential at any point in an electric field is defined as the work done in
moving a unit test charge from the infinity (or reference point at which
potential is zero) to the point under consideration, against the direction of
the field.
While
work done per unit charge in moving unit charge from point B to A in the field
is called potential difference between the points B and A. It is
the difference between the absolute potential of points B and A. While
specifying potential difference the reference point is not necessary but while
specifying the absolute potential the reference is infinity or a point at which
potential is zero.
Q.3
State the principle of superposition as applied to an electric potential of a
point.
Ans.
:
Consider the various point charges Q1 Q2 ... Qn The
potential due to all these point charges, at point A is to be determined. As
the potential is scalar, according to the principle of superposition the net
potential at point A is the algebraic sum of the potentials at A due to
individual point charges, considered one at a time.

where
Rn = Distance between point A and position of Qn
Q.4
State the general expressions for the potential at a point due to line charge,
surface charge and volume charge.
Ans.
:
The potential at a point A due to line charge is,

The
potential at a point A due to surface charge is,

The
potential at a point A due to volume charge is

Note
that for uniform line charge, line charge density ρL(r') = ρL, uniform surface
charge density P S(rz) = P S while uniform volume charge density ρv(r') = ρv.
Q.5
State the potential difference between the two points due to infinite line
charge.
Ans.
:
Consider an infinite line charge having uniform line charge density ρL C/m. The
point B is at a radial distance rB while point A is at a radial
distance rA from the charge. Then the potential difference between
the points A and B is given by,

Q.6
What is an equipotential surface ?
Ans.
:
An equipotential surface is an imaginary surface in an electric field of a
given charge distribution, in which all the points on the surface are at the
same electric potential.
The
potential difference between any two points on the equipotential surface is
always zero. Thus the work done in moving a test charge from one point to
another in an equipotential surface is always zero. There can be many
equipotential surfaces existing in an electric field of a particular charge
distribution.
Q.7
Show the equipotential surfaces for a point charge.
(Refer
Fig. 4.10.1)
Q.8
State the nature of conservative field.
AU
: May-05,19, Nov.-05, Dec.-17
Ans.
:
Any field that satisfies the equation of the form

i.e
closed line integral of the field is zero, is called conservative field. For
such a field no work is done or no energy is conserved around a closed path.
This indicates that the work done in
and hence potential
between any two points is independent of the path joining the two points.
Earth's gravitational field and static electric field are the example of
conservative field. For a nonconservative field the line integral around
certain closed paths may be zero but it is not zero for each and every closed
path. The time varying electric and magnetic fields, velocity field of
particles on a rim of rotating wheel, force due to friction are nonconservative
fields.
Q.9
Give the relation between electric field and potential.
AU
: May-07, Dec.-07
Ans.
:
The electric field is the negative gradient of potential. Mathematically it is
given by,

Q.10
Give the gradient of a scalar in all the co-ordinate systems.
(Refer
section 4.12.2)
Q.11
Give the energy in terms of
. Also give the expression for the
energy density.
Ans.
:
The energy in terms of
is given by,

While
the energy density in the electric field is given by,

Q.12
What is an electric dipole ?
Ans.
:
The two point charges of equal magnitude but opposite sign, separated by a very
small distance give rise to an electric dipole.
Q.13
Give an electric field
at a point due to an electric dipole.
Ans.
:
An electric field
at a point due to an electric dipole is given by,

Q.14
Define dipole moment. Give its units.
Ans.
:
The vector length directed from - Q to + Q charge in an electric dipole is denoted
as d. Then the product Q
is called dipole moment and denoted as ![]()

Q.15
Give the potential at a point due to an electrical dipole.
AU
: Dec.-10
Ans.
:
The expression of potential V due to an electric dipole is,

where
V - Potential due to an electrical dipole
d
- Distance between the two charges
r
- Distance between point and the origin.
Q.16
Define equipotential line and show that equipotential and field lines are
orthogonal.
AU
; May-06, 01
(OR)
Why
the direction of electric field is always normal to equipotential surface ?
Ans.
:
The potential difference is given by,

Now
if
is choosen such that point Q moves to P along perpendicular
direction
. The dot product of two perpendicular vectors is zero.

Thus
an equipotential line is perpendicular to
field lines. Hence equipotential
line and field lines are always orthogonal i.e. perpendicular
Q.17
Give examples for uniform and non-uniform electric fields.
Ans.
:
An electric field in which electric field lines are parallel is called uniform
electric field. In a nonuniform field the field lines diverge, going from a
stronger to a weaker field region.
The
field between two charged plates, a field of a parallel plate capacitor are
uniform fields. When electrons start to be pushed together in a cloud, they
cause a charge separation to occur in the ground below the cloud. This forms a
strong electric field between cloud and the ground. This is uniform electric
field.
While
the electric field which varies with distance
is a nonuniform. Thus field due to a point charge, field of a spherical
capacitor are nonuniform electric fields.

Q.18
A point charge + 2 nC is located at the origin. What is the value of potential
at P(l, 0, 0) m ?
AU
: May-11
Ans.
:
Q = 2 nC, P (1, 0, 0), Q is at origin.

Q.19
An electric dipole of 100
pC.m is located at the origin. Find
the scalar potential V at the point (0,0,10).
Ans.
:

Q.20
The potential distribution of
V
= ax2 + 6y2 - 3√V exists in an electric field 
Sol . :

Q.21
The electric potential near the origin of a system of co-ordinates is V = ax2
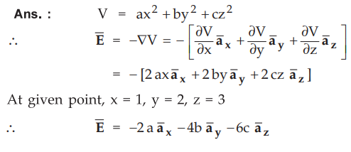
+ by2 + cz2. Find the electric field at (1, 2, 3).
Ans.:

Q.
22 The electric potential near the origin of a system of co-ordinates is V = 5x2
+ 8 y2 + 10z2. Find the electric field at (1, 2, 3).
Ans.
:

Electromagnetic Theory: Unit II: (a) Electric Work Potential and Energy : Tag: : Electric Work Potential and Energy | Electromagnetic Theory - Two Marks Questions with Answers
Electromagnetic Theory
EE3301 3rd Semester EEE Dept | 2021 Regulation | 3rd Semester EEE Dept 2021 Regulation