Electromagnetic Theory: Unit III: (a) Magnetostatics : Two Marks Questions with Answers
Two Marks Questions with Answers
Q.1
Define magnetic field and magnetic fines of force.
Ans.
:
The region around a magnet within which the influence of the magnet can be
experienced is called magnetic field. Such a field is represented by imaginary
lines around the magnet which are called magnetic lines of force. These lines
of force are also called magnetic lines of flux or magnetic flux lines.
Q.2
State right hand thumb rule.
Ans.
:
Right hand thumb rule states that, hold the current carrying conductor in the
right hand such that the thumb pointing in the direction of current and
parallel to the conductor, then curled fingers point in the direction of the
magnetic lines of flux around it.
Q.3
Define magnetic field intensify and state its unit.
AU
: Dec.-04
Ans.
:
The magnetic field intensity at any point in the magnetic field is defined as
the force experienced by a unit north pole of one weber strength, when placed
at that point. Magnetic field intensity is measured in newtons/weber (N/Wb) or
amperes per metre (A/m) or ampere-tums/metre (AT/m). It is denoted as
.
Q.4
Define magnetic flux density and state its unit.
Ans.
:
The total magnetic lines of force i.e. magnetic flux crossing a unit area in a
plane at right angles to the direction of flux is called magnetic flux density.
It is denoted as B and is a vector quantity. It is measured in weber per square
metre.
(Wb/m2)
which is also called Tesla (T).
Q.5
What is permeability ? State its unit.
Ans.
:
Permeability is the ability or ease with which the current carrying conductor
forces the magnetic flux through the region around it. For a free space, the
permeability is denoted as µ0 and its value is 4π × 10-7. The
permeability p is measured in henries per metre (H/m). For any other region, a
relative permeability is specified as µ = µ0 µr.
Q.6
What is the relation between magnetic flux density and magnetic field intensity
?
AU
: Dec.-02, May-04
Ans.
:
In magnetostatics, the magnetic flux density
and magnetic field
intensity
are related to each other through the property of the region
in which current carrying conductor is placed called permeability denoted as µ.

Q.7
State Biot-Sauart's law.
AU
; Dec.-03, 06, 09, 14, May-05, 10, 17
Ans.
:
The Biot-Savart law states that,
The
magnetic field intensity
produced at a point P due to a
differential current element IdL is,
1.
Proportional to the product of the current I and differential length dL.
2.
The sine of the angle between the element and the line joining point P to the
element.
3.
And inversely proportional to the square of the distance R between point P and
the element.
Mathematically
it is represented as,

To
obtain total magnetic field intensity
, the above equation takes the
integral form as,

Q.8
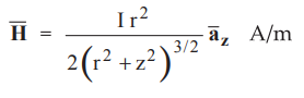
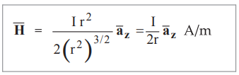
State the expression for
on the axis of a circular loop placed in x-y
plane. Hence find the
at the centre of the loop.
Ans.
:
The expression for
on the axis of a circular loop placed in x-y
plane is,

where r = Radius of the circular loop and
z
= Distance of point along the axis
If
point is shifted at the centre of the circular loop i.e. z = 0,

where
is the unit vector normal
to xy plane in which the circular loop is lying.
Q.9
State Ampere's circuital law.
AU
: Dec.-04, 16, 17, May-07, 09, 11, 12, 14, 16
Ans.
:
The Ampere's circuital law states that,
The
line integral of magnetic field intensity
around a closed path is
exactly equal to the direct current enclosed by that path.
The
mathematical representation of Ampere's circuital law is,

Q.10
Sketch variation of
against r in co-axial cable.
(Refer
Fig. 7.9.5 on page 7-21)
Q.11
What is
at a point due to current sheet of density
A/m ?
Ans. : For an infinite sheet of current density point is


Q.12
State the expression for
in all the regions if a cylindrical
conductor carries a direct current I and its radius is 'R'm.
Ans.
:
For a cylindrical conductor carrying a direct current I with radius 'R'm,

Q.13
State the point form of Ampere's circuital law.
Ans.
:
The point form of Ampere's circuital law is,

Q.14
State Gauss's law for magnetic fields.
Ans.
:
The integral
evaluated over a closed surface is always zero.

This
is called law of conservation of magnetic flux or Gauss's law in integral form
for magnetic fields.
The
Gauss's law in differential form for magnetic fields is given by,

The
divergence of magnetic flux density is always zero.
Q.15
What is scalar magnetic potential ?
AU
: Dec.-03, May-05
Ans.
:
The scalar magnetic potential Vm can be defined for source free region where
i.e. current density is zero.

Magnetic
scalar potential can be expressed interms of
as,

Q.16
State Laplace's equation for scalar magnetic potential.
Ans.
:
The Laplace's equation for scalar magnetic potential is,

Q.17
Define vector magnetic potential and state its unit.
AU
: Dec.-03, May-04, 06, 17
Ans.
:
The vector magnetic potential Ā is defined such that curl of vector magnetic
potential is the flux density.

The
definition requires that
. The vector magnetic potential Ā serves
as an intermediate quantity from which
and hence
can be
obtained. It is measured in Wb/m.
Q.18
Deduce the expression for the current density form the vector magnetic
potential.
Ans.:

Using
vector identity to express left hand side we can write,

Q.19
State the Poisson’s equation for magnetostatic fields.
Ans.
:
The Poisson's equation for magnetostatic fields.

Q.20
Can a static magnetic field exist in a good conductor ? Explain.
Ans.
:
A static magnetic field can exist in a good conductor. When conductor carries
current, it produces the flux which can exist inside the conductor. Due to this
flux, magnetic field and intensity exists at a point inside the good conductor.
Q.21
Plot the variation of
inside and outside a circular conductor with
uniform current density.
(Refer
Fig. 7.9.9 on page 7-23)
Q.22
Plane y = 0 carries a uniform current of 30
Calculate the magnetic
field intensity at (1, 10, -2) m in rectangular co-ordinate system.
Ans.
:
For an infinite current sheet,

Key
Point : The point (1, 10, -2) is to the right of plane y =
0. Hence 
Q.23
What should be the direction of currents (of same magnitude) in two identical
co-axial cylindrical coils to have maximum magnitude of
at a point on
the axis ?
Ans.
:
The direction of currents in two identical co-axial cylindrical coil must be
same, to have maximum magnitude of B at a point on the axis. This can be
confirmed using right hand thumb rule.
Q.24
State the applications of Ampere's circuital law.
AU
: Dec.-07
Ans.
:
Ampere's circuital law can be used to obtain
due to,
a)
Infinitely long straight conductor
b)
Co-axial cable
c)
Infinite sheet of current
d)
Circular conductor carrying current I.
Q.25
Draw the magnetic filed pattern in and around a solenoid.
Ans.
:
Consider a solenoid and field pattern around it as shown in the Fig. 7.14.1.

Q.26
Define magnetic flux and flux density.
Ans.
:
The total number of lines of force existing in a particular magnetic field is
called magnetic flux which is denoted as ϕ.
The flux per unit area in a plane at right
angles to the flux is called magnetic flux density. It is shown in the Fig.
7.14.2 and denoted as B.
Q.27
For the configuration shown calculate the value of

AU
: May-07
Ans.
: According
to the Ampere’s circuital law

=
Current enclosed by closed path
The
current enclosed is + 100 A (outwards) and -10 A (inwards)
i.e.
total 100 - 10 = 90 A.

The
current shown outside the closed path has no effect on the integral.
Q.28
A long straight wire carries a current 1 = 1 amp.
At
what distance is the magnetic field H = 1 A/m.
AU
: May-09
Ans
. : 1 = 1 A, H = 1 A/m
For
a long straight wire the
is given by,

At
the perpendicular distance of 0.1592 m from the wire,
will be 1 A/m.
Q.29
Find the value of magnetic field intensify at the centre of a circular loop of
radius 1 m carrying a current of 10 A.
AU
: May-13, Dec.-14
Ans.
:

where
= Unit vector normal to plane of circular loop.
Q.30
Compare coulomb's law and Biot-savart law.
Ans.
:
There are certain similarities and differences between Coulomb's law and Biot
Savart law which are given in the following table.

Q.31 Write down the expression for magnetic field
at the centre of the circular coil.
AU
: Dec.-19
Ans.
: It is given by,

Where
= Unit vector perpendicular to the plane containing the coil
R
= Radius, I = Current
Q.32 Distinguish between magnetic scalar potential
and magnetic vector potential.
Ans.

Electromagnetic Theory: Unit III: (a) Magnetostatics : Tag: : Magnetostatics | Electromagnetic Theory - Two Marks Questions with Answers
Electromagnetic Theory
EE3301 3rd Semester EEE Dept | 2021 Regulation | 3rd Semester EEE Dept 2021 Regulation