Electromagnetic Theory: Unit V: Electromagnetic Waves : Two Marks Questions with Answers
Two Marks Questions with Answers
Q.1 Define wave
OR
What is wave ?
Ans. : A wave is defined as the phenomenon which occurs at one place at a given time and gets reproduced at other places at later time where, the time delay being proportional to the separation between first and other place in space.
Q.2 What is an electromagnetic wave ?
Ans. : The waves are the means of transporting energy or information from source to destination. The waves consisting electric and magnetic fields are called electromagnetic waves.
Q.3 Give typical examples of electromagnetic waves
Ans. : The typical examples of the electromagnetic waves are radio waves, light rays, radar beams, television signals etc.
Q.4 Write general wave equation interms of electric and magnetic fields.
Ans. : The wave equation for the electric field p is given by,

The wave equation for the magnetic field
is given by,

Q.5 What do you mean by uniform plane wave ?
Ans. : Basically plane waves means, the electric field vector
and the magnetic field vector
lie in the same plane. Also the different planes along the direction consisting
and
vectors are parallel to each other along the direction of propagation of wave. The uniform plane wave means the
and
field vector are in same plane. Moreover the amplitude and phase of field vectors
and
is constant over the planes parallel to each other.
Q.6 What is meant by transverse electromagnetic wave ?
Ans. : If the fields
and
of an electromagnetic wave are mutually perpendicular to each other and if the direction of propagation of an electromagnetic wave is orthogonal to the plane consisting
and
field vectors, then the wave is said to be Transverse Electromagnetic Wave (TEM).
Q.7 Define phase velocity. Write its mathematical expression.
Ans. : The phase velocity of the uniform plane waves is defined as the velocity with which the phase of the wave propagates. It is denoted by vp or simply v.

Q.8 Define intrinsic impedance of a medium.
OR
What is the intrinsic impedance of free space ? What is its value ?
OR
Calculate intrinsic impedance of free space.
Ans. : In general, the intrinsic impedance of a medium is defined as the ratio of permeability to the permittivity of the medium. It is denoted by h- It is expressed as,
η = √µ / Ɛ
For free space, µ = µ0 and Ɛ = Ɛ0. Hence the intrinsic impedance of the free space is given by,

The η has dimension Ω. The significance of the intrinsic impedance of free space i.e. η0 is that its value is purely real and resistive.
We can express foe intrinsic impedance of any medium interms of that of a free space as follows,

It is also the ratio of magnitude of electric field
to that of the magnetic field
.
Q.9 Define propagation constant.
Ans. : The propagation constant is a complex quantity expressed interms of foe properties of foe medium. It is denoted by ɤ-0987 and is given by,
ɤ = ɑ + j β = √jωµ (σ + jωƐ)
Q.10 What is meant bp attenuation constant and phase constant ?
Ans. : The real part of propagation constant is called attenuation constant. It is denoted by ɑ. It is measured in neper per meter (Np/m). It indicates foe amount by which foe amplitude of foe signal reduces. The imaginary part of propagation constant is called phase constant. It is denoted by β It is measured in radian per meter. It indicates foe amount by which foe phase change of foe signal occurs.
Q.11 Define wavelength.
Ans. : A distance required to effect a phase change of 2π radian is called wavelength. It is denoted by A and measured in meter. According to foe fundamental definition, wavelength is given by,
λ = 2π/ β
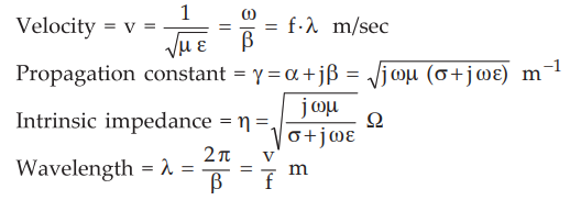
Q.12 Write down the general equations for velocity, propagation constant, intrinsic impedance and wavelength ?
Ans. : The general equations for different parameters as follows.

Q.13 Write the equations for velocity, propagation constant, intrinsic impedance, attenuation constant, phase constant and wavelength for an electromagnetic wave in free space.
Ans. :

Q.14 Write down wave equations in phasor form.
Ans. : Wave equations in phasor form

Q.15 What is meant by perfect dielectric ?
Ans. : If the medium is perfect dielectric, then its properties are given by, σ = 0,
µ = µr µ0 and Ɛ = Ɛr Ɛ0. For the perfect dielectric as conductivity is zero (i.e. σ = 0), the medium is also called lossless medium.
Q.16 Write down expressions for velocity, attenuation constant, phase constant, intrinsic impedance if wave propagates in a perfect dielectric.
Ans. : If the wave propagates in perfect dielectric, then

Q.17 Give the expressions for propagation constant, intrinsic impedance if the wave propagates in a lossy dielectric.
Ans. : For a wave in lossy dielectric :

Q.18 Give the significance of intrinsic impedance. What is meant by lossy dielectric ?
Ans. : In lossy dielectric medium, the expression for the intrinsic impedance is given by,
η = | η | ∠ θn
Hence it is a complex quantity θn indicates that there is a phase difference between the electric and magnetic field. Thus in lossy dielectric, the electric and magnetic fields are not in time phase.
The medium in which attenuation constant a in non-zero indicating that the signal exponentially decays with the factor e-a z, is called lossy dielectric medium.
Q.19 What is loss tangent ?
AU : Dec.-06
OR
Define loss tangent.
AU : Dec.-14
Ans : The term σ/ ωƐ is called loss tangent of dielectric and the angle θ is called loss angle.
Q.20 What is the significance of loss tangent ?
AU : Dec.-06
Ans. : When σ >> ωƐ, the loss tangent is very high, thus a medium is said to be good conductor. When σ << ωƐ, the loss tangent is also small, thus a medium is said to be good dielectric. Hence any medium behaves as a good conductor at low frequencies while exhibits the properties of lossy dielectric at very high frequencies.
Q.21 Define skin depth.
OR
What is meant bp depth of penetration ?
AU : May-06
Ans. : The distance through which the amplitude of the travelling wave decreases to 37 % of the original amplitude is called skin depth or depth of penetration. It is denoted by δ.

Q.22 Explain skin effect.
Ans.: From the expression of the skin depth, it is clear that δ is inversely proportional to the square root of frequency. So for the frequencies in the microwave range, the skin depth or depth of penetration is very small for good conductors. And all the fields and currents may be considered as confined to a very thin layer near the surface of the conductor. This thin layer is nothing but the skin of the conductor, hence this effect is called skin effect.
Q.23 Write expression for intrinsic impedance, attenuation constant and phase constant for good conducting medium.
AU : Dec.-09
Ans. : For good conducting medium.

Q.24 What is meant by polarization of an uniform plane wave ?
Ans. : The polarization of uniform plane waves is defined as time varying behaviour of the electric field intensity vector
at some fixed point in space, along the direction of propagation. In other words, the polarization is nothing but a way in which the magnitude and direction of the electric field varies.
Q.25 What is classification of polarization ?
Ans. : Consider a uniform plane wave travelling in positive z-direction. Then the field vectors
and
lie in x-y plane, which is perpendicular to the direction of propagation of a uniform plane wave. Being an electromagnetic (EM) wave, as wave travels in a space, both the fields undergo same variations with respect to time.
There are different types of polarization of a uniform plane wave as given below.
1) Linear polarization 2) Elliptical polarization 3) Circular polarization
Q.26 What is linear polarization ?
Ans. : A wave in which the electric field E is the function of time and remains along a straight line at some point in the medium is said to be linearly polarized wave. There are three types of linearly polarized wave as i) Horizontal, ii) Vertical and iii) Theta.
Q.27 What are the conditions to be satisfied for a linearly polarized uniform plane wave ?
Ans. : In general, the equation for polarization of an uniform plane wave is given by,

Condition for linearly polarized wave :
components are in phase i.e.
δ = 0
Substituting this condition in equation we can write,

Q.28 What is meant by circular polarization ?
Ans. : When the electric field traces a circle and completes one cycle of rotation, then the wave is said to be circular polarization.
Q.29 What is a condition to be satisfied for a circularly polarized uniform plane wave ?
Ans. : In general, the equation for polarization of an uniform plane wave is given by,

Condition for circularly polarized wave :
components of equal ampliijide with the phase difference between two as δ = πc / 2.
Let the amplitude of
be equal to E0.
Applying conditions to equation, we can write,

Q.30 What is meant by elliptical polarization ?
Ans. : As the wave propagates,
will have maximum and minimum amplitudes at different instants of time depending on the relative amplitudes of
at any instant of time. In other words, the direction of the resultant field
varies with time. If the locus of the end points of
is traced, it is observed that
moves elliptically. Then such a wave is said to be elliptically polarized.
Q.31 What is a condition to be satisfied for an elliptically polarized uniform plane wave ?
Ans. : In general, the equation for polarization of an uniform plane wave is given by,

Condition for elliptically polarized wave :
components of unequal amplitudes with a phase difference δ ≠ 0. Let us assume that δ = π/2c.
Applying conditions to equation, we can write,

Q.32 What is meant by normal incidence and oblique incidence ?
Ans. : i) Normal incidence : When a uniform plane wave incidences normally to the boundary between the media, then it is known as normal incidence.
ii) Oblique incidence : When a uniform plane wave incidences obliquely to the boundary between the two media, then it is known as oblique incidence.
Q.33 Give the transmission and reflection coefficients for wave incident at plane dielectric boundary normally.
Ans. : The transmission coefficient is denoted by τ and it is given by,

The reflection coefficient is denoted by ɼ and it is given by,

The terms η1 and η2 indicates the intrinsic impedances of dielectric 1 and dielectric 2 i.e. medium 1 and medium 2 respectively.
Q.34 Write important results about transmission and reflection coefficients for wave incident at plane electric boundary.
Ans :

c) Both the coefficients ; ɼ and τ are dimensionless and may be complex in nature.
Q.35 For normal incidence at plane conducting boundary write expressions for transmission and reflection coefficient.
Ans. : Consider a uniform plane wave striking the interface between two media ; where medium 1 is perfect dielectric (σ = 0, lossless) and medium 2 is perfect conductor (σ = ∞). For medium 2, intrinsic impedance ɳ2 = 0 being a perfect conductor. Thus the transmission coefficient is given by,
τ = 2 ɳ2 / ɳ1 + ɳ2 = 0
Also the reflection coefficient is given by,
ɼ = 2 ɳ2 - ɳ1 / ɳ2 + ɳ1 = - 1
Q.36 What is standing wave ratio ?
Ans. : The standing wave ratio (S) is defined as the ratio of maximum to minimum amplitudes of voltage.

When the amplitudes of reflected and incident waves are equal, |ɼ| = 1. Thus s is infinite indicating total energy is reflected.
When there is no reflection of energy i.e. ɳ2 = ɳ1 then ɼ = 0. Thus s is unity.
The standing wave ratio s is dimensionless and the value of s lies in the range 1≤ s ≤ ∞
We can express reflection coefficient (ɼ) interms of the standing wave ratio as,
| ɼ | = s – 1 / s +1
Q.37 Explain polarizations with reference to oblique incidence.
Ans. : When a uniform plane wave strikes obliquely on the surface (either conductor or dielectric), the behaviour of the reflected wave is decided by the polarization of the incident wave.
There are two cases for the oblique incidence as given below.
Case (i) : The electric field vector perpendicular to the plane of incidence. In other words, the electric field vector is aligned parallel to the boundary surface as shown in the Fig. 10.12.1 (a). This is called horizontal polarization.
Case (ii) : The magnetic field vector is aligned parallel to the boundary surface. In other words, the magnetic field vector is perpendicular to the plane of incidence while the electric field vector is aligned parallel to the plane of incidence as shown in the Fig. 10.12.1 (b). This is called vertical polarization.
Q.38 Define plane of incidence ?
Ans. : A plane of incidence is a plane containing the vector in the direction of propagation of the incident wave and the normal to the boundary surface.
Q.39 Explain what is meant by index of refraction.
Ans. : The ratio of the speed of light in free space to that in medium is called index of refraction. It is denoted by n and it is given by,
n = c / v
where c = Velocity of light in free space,
v = Velocity of light in medium
Q.40 Express Snell's law of refraction.
Ans. : sin θt / sin θi = n1 / n2
where n1 and n2 are indices of refraction for medium 1 and 2.
Q.41 Define critical angle for total reflection.
Ans. : The angle of incidence at which the total reflection takes place is called critical angle (θc )

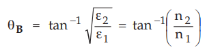
Q.42 What is brewster angle ?
Ans. : It is the angle of incidence at which there is no reflection.
For parallel polarization, the Brewster angle is given by,

Q.43 Give significance and brewster angle.
Ans. : The significance of Brewster angle is that, when an unpolarized wave is incident obliquely at the Brewster angle θB, only the component with perpendicular polarization will be reflected ; while component with parallel polarization will not be reflected. Hence it is also referred as polarizing angle.
Q.44 Determine the wavelength of an electromagnetic wave travelling in the free space at 30 GHz.
Ans. : The wavelength in free space is given by,

Q.45 The attenuation constant of a plane wave propagating through the dielectric is 0.2887 Np/m. Find the skin depth.
Ans. : The skin depth δ is given by,
δ = 1 / ɑ = 1/0.2887 = 3.4638m
Q.46 Define Poynting vector. What is its unit ?
AU : Dec.-04, 08, 09, 10; May-08, 11, 16, 19
Ans. : If
and
are the time varying electric and magnetic field respectively, then the cross product of
and
is called Poynting vector
. Mathematically, the Poynting vector is defined as,

The name given to a power vector is Poynting vector, after an english physicist John N. Poynting. The Poynting vector
is basically an instantaneous power density vector. Hence it is measured in V. A / m2 or watts / m2.
Q.47 Brief about complex Poynting vector.
Ans. : The complex Poynting vector is given by,

The Poynting vector
is an instantaneous power density vector. Its unit is watts/m2 . As the power flow has particular direction, the Poynting vector
is a vector quantity. The direction of power flow indicates the direction of an electromagnetic flow. For example, if
is in x-direction and
is in y-direction, then the power flow hence the electromagnetic wave propagates in z-direction as
.
Q.48 State Poynting theorem.
AU ; Dec.-07, 13, 18, May-14
Ans. : The Poynting theorem is based on law of conservation of energy in electromagnetism. The Poynting theorem states that the net power flowing out of a given volume V is equal to a time rate of decrease in the energy stored within volume V minus the ohmic power dissipated.
Q.49 Explain instantaneous, average and complex Poynting vector.
Ans. : The instantaneous Poynting vector is given by,

The complex Poynting vector is given by,

The average Poynting vector is given by,

Q.50 If
is the electric field propagating in free space, calculate the Poynting vector.
Ans. : In free space,

Q.51 Write the expression for average power density interms of the amplitude of electric field.
Ans. : The average power density expressed interms of the amplitude of electric field is given by'
Pavg = 1/2 E2m/ η W/m2, where η = Intrinsic impendance of a medium.
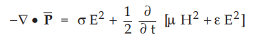
Q.52 Write the Poynting theorem in point form.
Ans. : The Poynting theorem in point form is given by

Q.53 Express the Poynting theorem in integral form.
Ans. : The Poynting theorem in integral form is given by,

Q.54 Explain flow of power in co-axial cable.
Ans. : Consider a co-axial cable with inner and outer conductors concetric to each other. Suppose power is transfered along a co-axial cable to the load resistance R. Then the total power flow along a cable is given by,
W = VI
Above expression is an universal result of power flow as product of voltage and current. So in a perfect conductor, the power flow is entirely external to the conductors.
Q.55 What is meant by power loss in plane conductor ?
Ans. : The power loss in a plane conductor is the power flow per unit area through the surface. Such a power flow from the surface is represented by the normal component of the Poynting vector at the surface of the conductor. It can be expressed in different forms as follows.

where η = intrinsic impedance of conductor.

Zs = Surface impedance which is equal to intrinsic impedance η
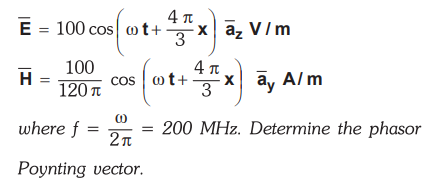
Q.56 If the field vectors of a wave in free space are given by

Ans. : The electric and magnetic fields can be represented in the phasor form as,

Hence the complex conjugate of the magnetic field
is given by,

Q.57 A plane TEM wave has a power density of 1.2 W/m2 in a medium with Ɛr = 3 and µr = l. Find
and
.
Ans. : The average power density is given by,
Pavg = 1/2 (E2m / η)
Now intrinsic impedance for given medium is

Let us assume that the electric field intensity is in x-direction. So in TEM wave,
is perpendicular to
, hence it will be in y-direction so that the power flow will be in z-direction.

Q.58 Write equation for skin depth of conductor.
(Refer Q.21 for answer)
AU : May-11
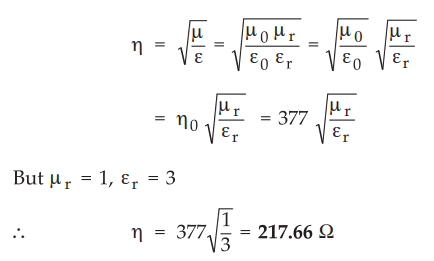
Q.59 Find the characteristics impedance of the medium whose relative permittivity is 3 and relative permeability is 1.
Ans. : The characteristics impedance of a medium is given by,
AU : Dec.-15

Q.60 What is practical significance of skin depth ?
AU : Dec.-15, May-18
Ans. : Generally for good conductors, skin depth 8 is very small. It is observed that the amplitude of signal reduces to zero almost within 28 to 38 distances. So this concept is used in shielding of a co-axial cable. The outer conductor of a co-axial cable acts as shield which is made up of good conductor material, so when inner conductor carries signal and there is external interference, the amplitude of interference reduces to zero within short distance and provides shielding to the inner conductor against interference.
Q.61 A plane wave travelling in air is normally incident on a block of paraffins with
Ɛr = 2.3. Find the reflection co-efficient.
Ans :

Q.62 Calculate the depth of penetration of copper at 2 MHz given the conductivity of copper
σ = 5.8 × 107 S/m and its permeability 1.26 µH/m.
AU : May-12, 14
Ans. : The depth of penetration of copper is given by,

Q.63 A plane wave travelling in free space has an average power of 2 W/m2. Find the average energy density.
AU : May-12
Ans. : The average power density of plane wave in free space is given by,

Q.64 Mention two properties of uniform plane wave.
AU : Dec.-13, 14, 16, May-19
Ans. : It is a function of time and space both. It shows an electric field and magnetic field vector both in same plane. It travels with high velocity. It radiate outwards from source in all directions. In space, at every point electric field and magnetic field are perpendicular to each other.
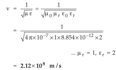
Q.65 Find the velocity of a plane wave in a lossless medium having a relative permitivity 2 and relative permeability of unity.
Ans. : For lossless medium

Q.66 The capacitance and inductance of an overhead transmission line are 0.0075 pF/km and 0.8 mH/km respectively. Determine the characteristic impedance of the line.
AU : Dec-14
Ans.

Q.67 What will happen when the wave is incident obliquely over dielectric-dielectric boundary ?
AU : Dec.-19
Ans. : When a plane wave is incident obliquely on the surface of a perfect dielectric, part of the energy get transmitted and part of it is reflected. But in case of dielectric-dielectric boundary, the transmitted wave gets refracted i.e. the direction of propagation gets altered.
Electromagnetic Theory: Unit V: Electromagnetic Waves : Tag: : Electromagnetic Waves | Electromagnetic Theory - Two Marks Questions with Answers
Electromagnetic Theory
EE3301 3rd Semester EEE Dept | 2021 Regulation | 3rd Semester EEE Dept 2021 Regulation