The motor armature current has two components Id and Iq.
Two Reaction Theory for Synchronous Motor
The two reaction theory discussed earlier is applicable to the synchronous motors. The two reactances according to this theory are direct axis reactance Xd and quadrature axis reactance Xq. The motor armature current has two components Id and Iq. The phasor diagram for the synchronous motor with a lagging power factor is shown in the Fig. 4.15.1.

The
phasor Iq Xq is such that Iq lags IqXq
by 90° while the phasor IdXd is such that Id lags IdXd
by 90°. The angle between V and Eb is δ, V and Ia is θ
and Eb and I a is
ψ The phasor diagram can be further modified as shown in the Fig. 4.15.2.


The
expression of dpm /dδ gives the rate of change of power with respect
to load angle δ and is called stability factor, rigidity factor or the
stiffness of coupling.
Using
cos 2 δ
= cos2 δ -1 m the equation (4.15.10) and
solving it, δ for maximum power is given by,

The
expression is obtained by neglecting armature resistance.
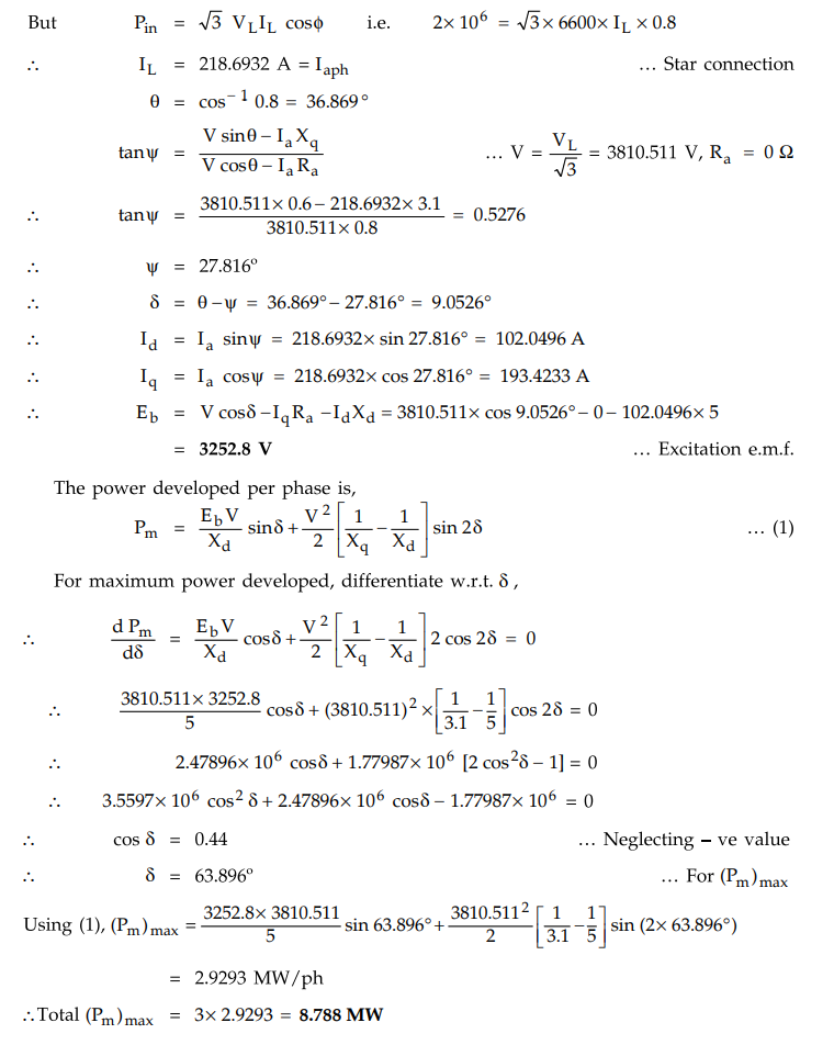
Example
4.15.1 A 6600 V, 2720 h.p. 3 phase star connected,
synchronous motor has Xd=5 Ω /ph and Xq =3.1 Ω /ph. Neglecting all the losses,
calculate the excitation e.m.f. when motor supplies rated load at 0.8 p.f.
lagging. Also calculate the maximum power that motor would develop for this
excitation.
Solution
:
VL
= 6600 V, Pout = 2720 h.p. = 2720 × 735.5 W ≈ 2 MW
As
all losses are to be neglected, Pin = Pout = 2 MW

Example
4.15.2 A 1500 kW, 3 phase, star connected, 3.3 kV
synchronous motor has reactance of xd = 4.01 and xq = 2.88 Q per phase. All
losses may be neglected. Calculate the excitation e.m.f. when the motor is
supplying rated load at unity p.f. Also calculate the maximum mechanical power
that the motor can supply with excitation held fixed at this value.
AU : May-08, Marks 12
Solution
:

Examples
for Practice
Example
4.15.3 From the phasor diagram of an over excited
salient pole synchronous motor, prove the following relations.

where
δ and θ are load and power factor angle respectively.
Example
4.15.4 A 1800 kVA, star connected, 6.6 kV salient poles
synchronous motor has Xd = 23.2 Q and Xq = 14.5 Q per phase. Its Ra is zero.
Calculate the excitation e.m.f. when the motor is supplying rated load at 0.8
pf. leading. If the excitation is cut- off, find the maximum load that the
motor can supply.
[Ans.:
(Pm)max = 0.1502 MW per phase]
Example
4.15.5 A 6.6 kV, 3-phase, star-connected synchronous
motor is running in parallel with an infinite bus. Its direct and
quadrature-axis synchronous reactances are 10 Q and 5 Q, respectively. If the
field current is reduced to zero, find the maximum load that can be put on the
synchronous motor. Also calculate the armature current and the maximum power developed.
Neglect armature resistance.
[Ans.:
2178 kW, 602.4921 A]
Example
4.15.6 The full-load torque angle of a synchronous
motor at rated voltage and frequency is 30° electrical. The stator resistance
is negligible. How would the torque angle be affected by following changes ?
i)
The load torque and terminal voltage remaining constant, the excitation and
frequency are raised by 10 %.
ii)
The load power and terminal voltage remaining constant, the excitation and
frequency are reduced by 10 %.
iii)
The load torque and excitation remaining constant, the terminal voltage and
frequency are raised by 10 %.
iv)
The load power and excitation remaining constant, the terminal voltage and
frequency are reduced by 10 %.
[Ans.:
i) 33.36°, ii) 30°, iii) 33.36°, iv) 30°]
Example
4.15.7 From the phasor diagram of the lagging p.f.
salient pole sychronous motor, show that :

where
the symbols having their usual meanings.
Example
4.15.8 A salient-pole synchronous motor has Xd
= 0.85p.u. and Xq = 055p.u. It is connected to bus-bars of 1.0 p.u.
voltage while its excitation is adjusted to 1.2 p.u. Calculate the maximum
power output, the motor can supply without loss of synchronism. Compute the
minimum p.u. excitation that is necessary for the machine to stay in
synchronism while supplying the full-load torque (i.e. 1.0 p.u. power).
[Ans.:
1.5328 p.u., 0.706 p. u]
Review Question
1. Explain the two reaction theory for synchronous motor.
Electrical Machines II: UNIT II: Synchronous Motor : Tag: Engineering Electrical Machines - II : - Two Reaction Theory for Synchronous Motor
Electrical Machines II
EE3405 Machine 2 EM 2 4th Semester EEE Dept | 2021 Regulation | 4th Semester EEE Dept 2021 Regulation