• Assuming all capacitors arbitrarily large and act as a short circuit for a.c. signal we can draw h-parameter equivalent circuit for CE-CE cascade amplifier, as shown in Fig. 8.1.14.
6. Two Stage RC Coupled CE-CB Cascode Amplifier
• Fig. 8.1.14 shows that CE-CE cascade amplifier, with their biasing arrangements.
• Assuming all capacitors arbitrarily large and act as a short circuit for a.c. signal we can draw h-parameter equivalent circuit for CE-CE cascade amplifier, as shown in Fig. 8.1.14.

Analysis of second stage (CE amplifier)
As hoe RL = hoe RC2 = 25 × 10-6 × 4 × 103 = 0.1 we can use approximate analysis.


• The cascode amplifier consists of a common emitter amplifier stage in series with a common base amplifier stage as shown in the Fig. 8.1.16. It is one approach to solve the low impedance problem of a common base circuit. Transistor, T-j and its associated components operate as a common emitter amplifier stage, while the circuit of T2 functions as a common base output stage.

Features :
1. It provides high input impedance.
2. It provides high voltage gain.
3. It provides improved input-output isolation as there is no direct coupling from the output to input. This eliminates the Miller effect and thus provides a much bandwidth.
4. It provides very high output resistance.
5. It also provides high slew rate and high stability.
6. The only disadvantage of cascode circuit is that it requires two transistors and requires a relatively high supply voltage.
• For the d.c. bias conditions of the circuit, it is seen that the emitter current for T1 is set by VE1 and REr Collector current IC1 approximately equals IE1, and IE2 is same as Icr Therefore, IC2 approximately equals IE1. This current remains constant regardless of the level of VB2, as long as VCE1 remains large enough for current operation of Tr
• Fig. 8.1.17 shows the a.c. equivalent circuit for cascode amplifier. It is drawn by shorting d.c. supply and capacitors.

• The simplified h-parameter equivalent circuits for cascode amplifier is drawn by replacing transistors with their simplified equivalent circuits, as shown in the Fig. 8.1.18.

• Let us consider the circuit parameters are : Rg = 1 K, R3 = 200 K, R4 = 10 K and RL = 3 K, and transistor parameters for both transistors are : hie = 1.1 K and hfe = 50.
Analysis of second stage (CB amplifier)

Ex. 8.1.4 Calculate Ai = I0 / Ii, Av, Avs, Ri and R'o for the cascode circuit shown in the Fig. 8.1.19.
Assume transistors are identical with hfe = 100, hie = 2 kΩ , and hre = hoe = 0.

Sol. : The simplified h-parameter equivalent circuit for given CE-CB (cascode) amplifier is as shown in the Fig. 8.1.20.

• Consider a two stage amplifier circuit in a CE-CC configuration as shown in Fig. 8.1.22 and assume transistor parameters at the corresponding quiescent points are,

• Let us draw the h-parameter equivalent circuit and analyze the circuit.

• Here, the first stage is common emitter and second stage is common collector.
Analysis of second stage
• Since hoe RE2 = 25 × 10-6 × 5 × 103 = 0.125, which is greater than 0.1, we use exact analysis.
a) Current gain

Analysis of first stage
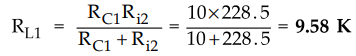
• We can see that the net load resistance RL1 of this stage is the parallel combination of RC1 and R12.

• Since hoe RL1 = 25 × 10-6 × 9.58 K = 0.239 which is greater than 0.1, we use exact analysis.
a) Current gain

b) Input resistance (R11) : The input impedance of the first stage, which is also the input impedance of the cascaded amplifier is given by,

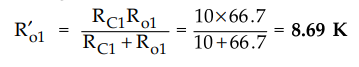
• The output impedance of the first stage, taking RC1 into account is given as,

• The R'o1 is the source resistance for the second stage. Hence

• The Ro2 is the output impedance of transistor Q2 under open circuit conditions. The output impedance Ro of the amplifier, taking RE2 into account, is Ro2 || RE2.
Ro = Ro2 × RE2 / Ro2 + RE2 = 208 × 5K / 208 × 5K = 199.69 Ω
Overall current gain (A1)
• The overall current gain of both stages is given as,

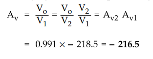
Voltage gain (Ay)

Overall voltage gain (Avn)
• The overall voltage gain, taking the source impedance into account, is given by

Review Questions
1. What are cascaded amplifiers ?
2. Explain the need of cascading amplifiers.
AU : May-15, Marks 2
Q. 4 Draw and explain the block diagram of two stage cascaded amplifier.
Q. 5 Draw and explain the block diagram of n stage cascaded amplifier.
Q. 6 Explain the significance of representing gain in decibels.
Q. 7 Explain different methods used for coupling multistage amplifiers with their frequency response.
Q. 8 What is the overall current gain for a cascode connection ?
AU : Dec.-02, Marks 2
Q. 9 What is cascode amplifier ? Explain.
AU : May-03, Marks 8
Q. 10 Draw a two stage RC coupled amplifier and explain the need for each component used. If the current gain of each stage is Av what is the overall current gain ?
AU : Dec.-03, Marks 16
Q. 11 Draw a cascode amplifier and derive the expression for the four important parameters Av, A1,Z1 and Zo.
Q. 12 What are the features of cascode amplifier ?
AU : May-05, Marks 2
Q. 13 Draw a two stage RC coupled amplifier of identical stages and derive the expressions for its overall voltage gain and current gain, if the individual stage gains are Av and Ai, respectively. Assume ideal source.
AU : May-05, Marks 16
Q. 14 Compare the performance of RC coupled amplifier and transformer coupled amplifier.
AU : May-09, Marks 2
Q. 15 What is the coupling schemes used in multistage amplifiers ?
AU : May-10, Marks 2
Q. 16 Why common base amplifier is preferred for high frequency signal when compared to common emitter amplifier ?
AU : Dec.-l0, Marks 2
Q. 17 Write short notes on multistage amplifiers.
AU : May-11, Marks 4
Q. 18 With neat sketch explain two stage cascaded amplifier and derive its overall Ao, Ai, RI, and Ro
AU : May-14, Marks 16
Electron Devices and Circuits: Unit IV: Multistage and Differential Amplifiers : Tag: : Equivalent circuit, Features, Calculations, Solved Example Problems | Multistage Amplifiers - Two Stage RC Coupled CE-CB Cascode Amplifier
Electron Devices and Circuits
EC3301 3rd Semester EEE Dept | 2021 Regulation | 3rd Semester EEE Dept 2021 Regulation