• Uptill now the forces and electric fields due to only point charges are considered. In addition to the point charges, there is possibility of continuous charge distributions along a line, on a surface or in a volume. Thus there are four types of charge distributions which are, 1. Point charge 2. Line charge 3. Surface charge 4. Volume charge
Types of
Charge Distributions
•
Uptill now the forces and electric fields due to only point charges are
considered. In addition to the point charges, there is possibility of
continuous charge distributions along a line, on a surface or in a volume. Thus
there are four types of charge distributions which are,
1.
Point charge 2. Line charge 3. Surface charge 4. Volume charge
•
It is seen that if the dimensions of a surface carrying charge are very very
small compared to region surrounding it then the surface can be treated to be a
point. The corresponding charge is called point charge. The point charge has a position but not the
dimensions. This is shown in the Fig. 2.4.1 (a) The point charge can be
positive or negative.

•
It is possible that the charge may be spreaded all along a line, which may be
finite or infinite. Such a charge uniformly distributed along a line is called
a line charge. This is shown in the
Fig. 2.4.1 (b).
•
The charge density of the line
charge is denoted as ρL and defined as charge per unit length.
ρL
= Total charge in coulomb/Total length in metres (C/m)
•
Thus ρL is measured in C/m. The ρL is constant all along
the length L of the line carrying the charge.
a. Method of Finding Q from ρL
•
In many cases, ρL is given to be the function of coordinates of the
line i.e. ρL = 3x or ρL = 4y2 etc. In such a
case it is necessary to find the total charge Q by considering differential
length dZ of the line. Then by integrating the charge dQ on dZ, for the entire
length, total charge Q is to be obtained. Such an integral is called line integral.
•
Mathematically, dQ = ρL dl = Charge on differential length dl

•
If the line of length L is a closed path as shown in the Fig. 2.4.1 (b) then
integral is called closed contour integral and denoted as,

•
A sharp beam in a cathode ray tube or a charged circular loop of conductor are
the examples of line charge. The charge distributed may be positive or negative
along a line.
Ex. 2.4.1
A charge is distributed on x axis of
cartesian system having a line charge density of 3x2 µC/m. Find the total
charge over the length of 10 m.
Sol. : Given
ρL = 3x2 μC/m and L = 10 m along x axis.
The
differential length be dZ = dx in x direction and corresponding charge is dQ = ρL
dl = ρL dx

=
1000 μC = 1 mC
•
If the charge is distributed uniformly over a two dimensional surface then it
is called a surface charge or a sheet of charge. The surface charge is
shown in the Fig. 2.4.2.

•
The two dimensional surface has area in square metres. Then the surface charge
density is denoted as ρs and defined as the charge per unit surface
area.
ρs
= Total charge in coulomb/ Total area in square metres (C/m2)
•
Thus ρS is expressed in C/ m2 .The p s is constant over
the surface carrying the charge.
a. Method of Finding Q from ρs
•
In case of surface charge distribution, it is necessary to find the total
charge Q by considering elementary surface area dS. The charge dQ on this
differential area is given by p S dS. Then integrating this dQ over the given
surface, the total charge Q is to be obtained. Such an integral is called a surface integral and mathematically
given by,

•
The plate of a charged parallel plate capacitor is an example of surface charge
distribution. If the dimensions of the sheet of charge are very large compared
to the distance at which the effects of charge are to be considered then the
distribution is called infinite sheet of charge.
•
If the charge distributed uniformly in a volume then it is called volume charge. The volume charge is
shown in the Fig. 2.4.3.

•
The volume charge density is denoted
as p v and defined as the charge per unit volume.
ρv
= Total charge in coulomb / Total volume in cubic metres (C/m3)
•
Thus ρv is expressed inC/m3.
Method of Finding Q from ρv
•
In case of volume charge distribution, consider the differential volume dv as
shown in the Fig. 2.4.3. Then the charge dQ possessed by the differential volume
is ρvdv. Then the total charge within the finite given volume is to
be obtained by integrating the dQ throughout that volume. Such an integral is called
volume integral. Mathematically it is given by.

•
The charged cloud is an example of volume charge.
Key Point :
In all the integrals line, surface and volume a single integral sign is used
but practically for surface integral it becomes double integration while to
integrate throughout the volume it becomes triple integration. Similarly ρs
and ρv can be functions of the co-ordinates of the system used e.g.
ρs = 4xy C/m2, ρv = 20z e-0.2y C/m3
etc.
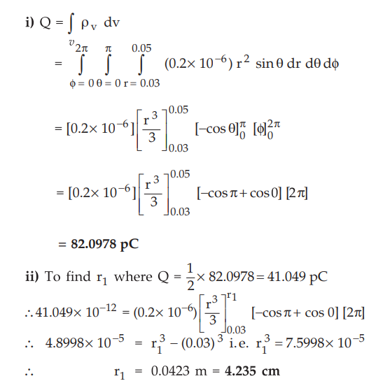
Ex. 2.4.2 A uniform volume charge density of
0.2 μC/m3 is present throughout the spherical shell extending from r
= 3cm to r = 5 cm. If ρv = 0 elsewhere, find :
i) Total charge present throughout
the shell.
ii) r1 if half the total
charge is located in the region 3 cm < r < r1.
Sol. : ρv = μC/m3,
dv = r2 sin θ dr dϕ for spherical

Examples for Practice
Ex. 2.4.3 A volume charge density is expressed as ρv = 10z2 x sin πy. Find the total charge inside the volume (-1 ≤ x ≤ 2), (0 ≤ y ≤ 1), (3 ≤ z ≤ 3.6).
[Ans.:
62.57 C]
Ex. 2.4.4 A sphere of radius 2 cm is having volume charge density of ρv given by ρv = cos2 θ. Find the total charge Q contained in the sphere.
[Ans.: 11.1701 C]
Review Question
1. Which are the
various types of charge distributions ? Explain. State the units of line charge
density, surface charge density and volume charge density.
Electromagnetic Theory: Unit I: (b) Coulombs Law and Electric Field Intensity : Tag: : Electrostatics - Types of Charge Distributions
Electromagnetic Theory
EE3301 3rd Semester EEE Dept | 2021 Regulation | 3rd Semester EEE Dept 2021 Regulation