Probability and complex function: Unit I: Probability and random variables : Examples
Example 1.10.1
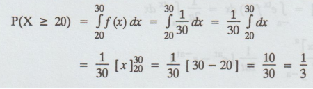
Electric trains on a certain line run every half an hour between mid-night and six in the morning. What is the probability that a man entering the station at a random time during this period will have to wait atleast twenty minutes ? [A.U. A/M 2008]
Solution :
Let the random variable X denote the waiting time in minutes for the next train.
Given that a man arrives at the station at random
→ X is distributed uniformly on (0, 30) with density
f(x) = 1/30' 0 < x < 30
= 0, otherwise
Thus the probability that he has to wait for atleast 20 minutes is

Example 1.10.2
If the random variable X follows uniform distribution in (0, 1) with density f(x) = 1, 0 < x < 1
= 0, otherwise
find the density function of -2 log X.
Solution:
Let Y = -2 log X. Thus the distribution function of Y is
G(y) = P[Y ≤ y] = P[-2 log X ≤ y]

( as X ranges in (0, 1), Y = -2 log X ranges from 0 to ∞) max
Example 1.10.3
Show that for the uniform distribution :
f(x) = 1/2a, -a < x < a
= 0, elsewhere
[A.U. N/D 2006]
the moment generating function about the origin is 1 / a t Also, moments
of even order are given by μ2n = a2n / (2n+1)*
Solution:
Moment generating function about origin is given by

since there are no terms with odd powers of t in Mx(t) all moments of odd order about origin vanish.
(i.e.,) μ2n 2n + 1 = 0
In particular μ = 0 → mean = 0
Thus μ2n = μ2n (mean = 0)
μ2n+1 0, n = 0, 1, 2, …
(i.e.,) all moments of odd order about mean vanish. The moments of even order are given by

Example 1.10.4
If X is uniformly distributed over (0, 5), find the probability that
(a) X < 2 (b) X > 3 (c) 2 < x < 5.
Solution :

Example 1.10.5
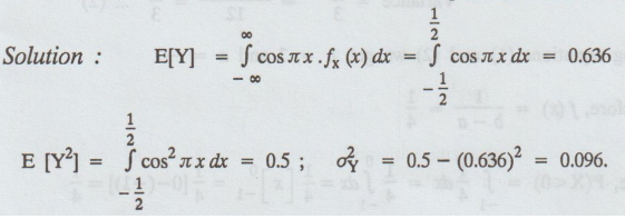
A random variable Y is defined as cos лx where X has a uniform p.d.f. over (-1 / 2 , 1 / 2 ) find mean and standard deviation.
Solution :

Example 1.10.6
If X is uniformly distributed over (-a, a), a > 0 find a, so as to satisfy the following: (a) P(X ≥ 1) = 1/3 (b) P(X > 1) = 1/2
Solution :
X is uniformly distributed over (-a, a)

Example 1.10.7
X is uniformly distributed with mean 1 and variance 4/3' find P(X < 0).
[A.U Tvli M/J 2010, CBT A/M 2011]
Solution :

Example 1.10.8
Buses arrive at a specified bus stop at 15 minutes intervals starting at 7 a.m. that is 7 a.m., 7.15 a.m., 7.30 a.m., etc. If a passenger arrives at the bus stop at a random time which is uniformly distributed between 7 and 7.30 a.m. find the probability that he waits (a) less than 5 minutes (b) atleast 12 minutes for a bus.
Solution: Let X denotes the time that a passenger arrives between 7 and 7.30 a.m.
Then X ~ U(0, 30)
Then f(x) = 1 / b – a = 1 / 30 – 0 = 1 / 30
(a) Passenger waits less than 5 minutes, (i.e.,) he arrives between 7.10 - 7.15 or 7.25 -7.30
P(Waiting time less than 5 minutes)
= P(10 ≤ x ≤ 15) + P(25 ≤ x ≤ 30)

(b) Passenger waits atleast 12 minutes, (i.e.,) he arrives between
7- 7.03 or 7.15 - 7.18.
P(Waiting time atleast 12 minutes)
= P(0 ≤ x ≤ 3) + P(15 ≤ x ≤ 18)

Example 1.10.9
A random variable 'X' has a uniform distribution over (-3, 3) compute
(i) P(X < 2), P(|X| < 2), P(x-2 < 2),
(ii) Find K for which P(X > K) = 1 / 3
[A.U M/J 2009, CBT A/M 2011]
Solution:
We know that the p.d.f. of a random variable 'X' which is distributed uniformly in (-a, a) is

Example 1.10.10
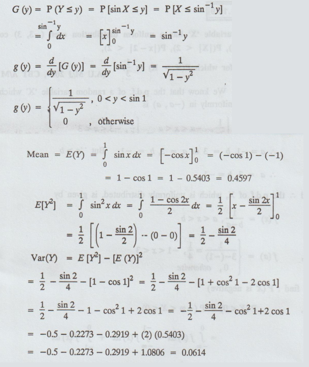
If X is a random variable uniformly distributed in (0, 1), find the pdf of Y = sin x. Also find the mean and variance of Y.
Solution: Given: Y = sinx
X has a uniform p.d.f over (0, 1)
g(y) = 1
G (y) = P(Y ≤ y) P(sinX ≤ y) = P(X ≤ sin-1 y)

Example 1.10.11
X is uniformly distributed random variable with mean 1 and variance 4/3 If 3 independent observations of X are made, what is the probability that all of them are negative. [A.U A/M 2015 (RP) R8]
Solution:
Let X ~U (a, b)
Mean = a + b / 2, variance = (b - a)2 / 12
Given: a + b / 2 = 1 → a + b = 2 ... (1)
Given: (b - a) 2 / 12 = 4/3 → (b - a)2 = 16
→ (b − a) = ± 4 … (2)

Example 1.10.12
The variates 'a' and 'b' are independently and uniformly distributed in the interval (0, 6) and (0, 9) respectively. Find the probability that the equation x2- ax + b = 0 has two real roots.
Solution :

Example 1.10.13
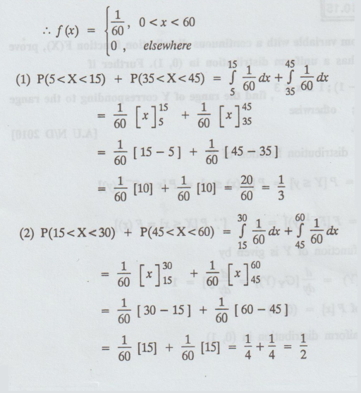
Starting at 5.00 a.m. every half hour there is a flight from San Francisco airport to Los Angeles International Airport. Suppose that none of these planes is completely sold out and that they always have room for passengers. A person who wants to fly to L.A. arrives at the airport at a random time between 8.45 a.m and 9.45 a.m. Find the probability that she waits (1) atmost 10 mins. (2) atleast 15 mins. [A.U M/J 2007]
Solution: Let X be the uniform r.v. over the interval (0, 60)

Example 1.10.14
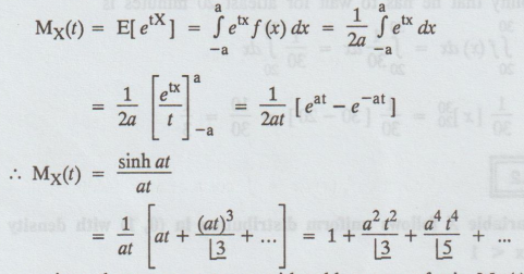
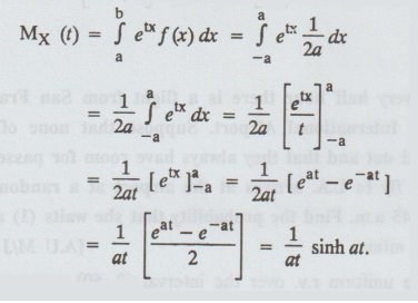
Show that for the uniform distribution f (x) = 1/ 2a', - ɑ < x < ɑ the moment generating function about origin is sinh ɑt / ɑt [AU N/D 2006]
Solution:
Given: f(x) = 1/2 ɑ - ɑ < x < ɑ
To prove : Mx (t) sinh ɑ t / ɑ t
Proof: We know that the moment generating function is

Example 1.10.15
If X is a random variable with a continuous distribution function F(X), prove that Y=F(X) has a uniform distribution in (0, 1). Further if

Probability and complex function: Unit I: Probability and random variables : Tag: : Random variables - Uniform distribution (or) Rectangular Distribution: Example Solved Problems
Probability and complex function
MA3303 3rd Semester EEE Dept | 2021 Regulation | 3rd Semester EEE Dept 2021 Regulation