• Consider an electromagnetic wave propagating through the free space. For free space, σ = 0. Consider that the electric field in the wave is in x-direction only while the magnetic field is in y-direction only.
Uniform
Plane Waves in Free Space
Dec.-05, 06, 08, 12, 16, 17,
May-16, 17, 18
•
Consider an electromagnetic wave propagating through the free space. For free
space, σ = 0. Consider that the electric field in the wave is in x-direction
only while the magnetic field is in y-direction only. Both the fields, i.e.
electric field and magnetic field do not vary with x and y but vary only with
z. The fields also vary with time as wave propagates in the free space.
•
Basically plane waves means, the
electric field vector
and the magnetic field vector
lie
in the same plane. Also the different planes along the direction consisting
and
vectors are
parallel to each other along the direction of propagation of wave. The uniform plane wave means the
and
field vector are in same plane.
Moreover the amplitude and phase of field vectors
and
is
constant over the planes parallel to each other. A uniform plane with field
vectors
and
is illustrated in the Fig. 10.3.1 (a) and (b).

•
Electric field vector is in
direction while magnetic field is in
direction. That means
lie in x-y plane. So
in any of the planes in the wave, the vectors
are
independent of x and y. Thus we can conclude that
are function
of z and t only. Moreover as
are mutually perpendicular to each
other, the electromagnetic waves are also called transverse electromagnetic waves. As the wave travels in the z-direction.
It is clear that direction of the electromagnetic wave i.e. uniform plane wave
is perpendicular or orthogonal to the plane consisting the
field vectors.
•
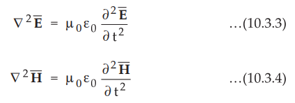
Let us consider wave equations for
the
fields given by,

•
But for free space, σ = 0 and ε = ε0, µ = µ0 substituting
these values in equations (10.3.1) and (10.3.2), the wave equations are
modified as,

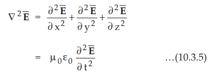
Consider
equation (10.3.3), we can write,

•
But the wave travels in the z-direction, hence
is independent of x and
y. Hence first two differential terms in above equation are zero. Hence we can
write,

•
Modifying equation (10.3.6) by rearranging terms, we get,

•
Now according to the results in physics,

where
c = 3×108 m/s = Velocity of light
• Substituting in equation (10.3.7), we get,

•
Above equation is other form of the wave equations. Similar to this we can also
write,

•
Let us consider equation (10.3.6), given as,

•
For the wave propagating in z-direction,
may have Ex and Ey
component but definitely not Ez. According to assumption,
direction, so let us consider that only Ex is present.
Then we can rewrite above equation as,
∂2Ex/
∂z2 = µ0 ε0 ∂2Ex / ∂t2
.......(10.3.10)
Let Ex = Em ejωt
Where
Em = Amplitude of the
electric field
ω
= Angular frequency
•
Partially differentiating Ex twice with respect to t, we get,

But
Em ejωt = Ex, thus we can write,
∂2Ex/∂t2
= - ω2Ex
Substituting in equation (10.3.10), we get,

Thus
auxiliary equation becomes,
(D2
+ ω2µ0ε0)EX = 0
Hence
equating bracket term to zero, we get,
D2
+ ω2µ0ε0 = 0
or D2 = -ω2µ0ε0

which
is called phase shift constant measured
in rad/m.
Hence the solution of equation (10.3.11) can be written as,

•
Let K1 and K2 be the constants with respect to z but are functions
of t. Let us assume K1 and K2 as,

•
Substituting values of K1 and K2 in equation (10.3.13) we
get,

•To
find the electric field in the time domain, taking real part of equation
(10.3.14), we get,

• Above equation (10.3.15) is the sinusoidal function consisting two components of an electric field; one in forward direction and other in backward direction. The wave thus consists one component of the field travelling in positive z-direction having amplitude E+m; while other component of the field travelling in negative z-direction having amplitude E-m.
•
The equation for Hy can be obtained in the similar way by simplifying
equation (10.3.4) and the equation is given by,

• This equation is very much similar to
equation (10.3.15) representing two components of a magnetic field, one in forward direction, while other in backward direction.
•
Thus from equations (10.3.15) and (10.3.16) it is clear that
is in
x-direction while
is in y-direction. Both
and
are in
time phase and are mutually perpendicular to each other. Both these fields lie
in the plane which is mutually perpendicular to the direction of wave
propagation. Thus
and
together form transverse electromagnetic wave (TEM wave). Thus
and
are only functions of time and direction of travel.
•
The phase velocity of the uniform
plane waves is defined as the velocity with which the phase of the wave
propagates. It is denoted by vp or simply v. In other words, the
phase velocity indicates the progression of z co-ordinate in the argument of
cosine function i.e. cos (ωt - βz).
Thus
phase velocity is given by,
v
= vp = dz/dt = ω/β
But
β = ω√µε in general.
v
= 1/√µβε0 = vp .......(10.3.17)
•
Above equation (10.3.17) is the general equation for the phase velocity of the
uniform plane wave. We can rewrite equation (10.3.17) as,

For
free space, µ = µ0 and ε = ε0
v
= 1/ √µ0 ε0 where µ0 = 4π × 10-7
H/m,
ε0
= 8.854 × 10-12 F/m
•
Substituting values of µ0 and ε0, the velocity of the
uniform plane wave in free space is given by,

=
3 × l08m/s = c
where c = Velocity of light in free space
=
3×108 m/s
• Thus in free space (σ = 0, µ = µ0,
ε = ε0), the uniform plane waves travel with the velocity of light
i.e. 3 × 108 m/s.
i) Group Velocity (vg)
•
The velocity of entire group of waves as a whole is called group velocity
denoted as Vg.
•
The phase velocity is the velocity with which phase of the wave propagates
denoted as vp. The phase velocity Vp of waves is
generally larger than the group velocity Vg.
•
The relation between vp and vg is given by,
vg
= dω/dβ = vp – λ dvp/dλ
•
If the phase velocity is not dependent on the wavelength λ of the propagative
wave then dvp/dλ = 0 and vg = vp. Such a
medium is called non-dispersive medium.
•
The medium in which vg < vp is called normal dispersion
while medium in which vg > vp is called anomolous
dispersive medium.
•
The sound waves is a good example of non-dispersive medium where all the
individual waves which make up the sound wave as a whole travel at same speed
and hence vp = vg.
•
Thus the group velocity is the velocity with which the entire group of waves
travel.
•
In general, an electromagnetic wave in any medium can be defined completely if
the properties of the medium such as intrinsic impedance (η), propagation constant (ɤ) are known.
•
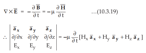
Consider Maxwell's equation derived from Faraday's law,

Assume
that uniform plane wave is propagating in z-direction. Thus above equation gets
modified as,

Also
assume that the electric field and magnetic field are mutually perpendicular to
each other and the direction of propagation. Then Ey = 0 and H* = 0. Thus above
equation gets simplified as,

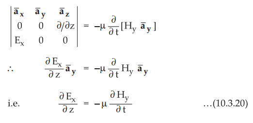
But
from equation (10.3.15),

Differentiating
with respect to z, we get,

Substituting
∂Ex/ ∂z in equation (10.3.20) we get,

Comparing
equation (10.3.22) with equation (10.3.16), we get,

•
Equations (10.3.23) and (10.3.24) are analogous to the Ohm's law i.e. I = V/Z where,
I and V are analogous to H and E. Thus the radical term is nothing but the
impedance with unit ohm. Such impedance is expressed interms of µ and e which
are properties of the medium. Hence the impedance is called intrinsic impedance of the medium and
is denoted by η.
•
Hence in general,

•
But for free space,
µ
= µ0 = 4π × 10-7 H/m , ε = ε0 = 8.854 × 10-12
F/m
•
Hence for free space, the intrinsic
impedance is denoted by η0 and is given by,

• From equation (10.3.26) it is clear that for
free space η0 is purely
resistive. The general expression for η interms of η0 is given
as,

•
Consider Maxwell's equation derived from Faraday's law given by,

Taking
curl on both the sides,

•
Using vector identity on L.H.S. and interchanging operations on R.H.S., we get
equation same as equation (10.2.10) that derived in section 10.2. Using the
simplified equation (10.2.10) we can write,

•
In uniform plane waves, both
and
vary with time. So by
property of phasors, when the fields vary with respect to time, then the
partial derivative with respect to time can be replaced by jm Rewriting above
equation in phasor form, we get,

•
Equations (10.3.28) and (10.3.29) are called wave equations in phasor form. In equations (10.3.28) and (10.3.29),
the term inside the bracket is same. This term represents the properties of the
medium through which the wave is travelling. It is square of the propagation
constant (ɤ). Hence wave equations can be rewritten as,

•
Hence, in general, the propagation constant can be expressed interms of the
properties of the medium as,

•
But the propagation constant y is the complex quantity made up of real and
imaginary term. Thus

•
In general, when wave travels through medium it gets attenuated. That means the
amplitude of the medium reduces. It is represented by the real part of the
propagation constant. It is called attenuation
constant (∝).
It is measured in neper per metre (Np/m). But practically a is expressed
in decibel (dB). The relation
between the basic unit neper and practical unit decibel is given by,
1
Np = 8.686 dB
Or
1
dB = 0.115 Np
•
The real part of the propagation constant i.e. ∝ is given by,

•
Similarly when a wave travels through the medium, phase change occurs. Such a
phase change is expressed by an imaginary part of the propagation constant. It
is called phase shift constant or
simply phase constant (β). It is
measured in radian per metre (rad/m).
Thus imaginary part of the propagation constant i.e. β is given by,

•
From the phasor form of the wave equation, the intrinsic impedance of the
medium in general is given by,

Now
for free space, σ = 0, ε = ε0 and μ = μ0, then,

Hence
for free space,
σ
= 0
β
= ω√μ0ε0 ............ (10.3.37)
•
Thus for free space, the propagation
constant is purely imaginary.
•
In general, the wave repeats itself after 2π radian. Thus the distance that
must be travelled by the wave to change phase by 2π radian is called wavelength
and is denoted by λ
Wavelength
= λ = 2π/β m...(10.3.38)
Putting β = ω√με we get,

But
ω/2π = f in Hz and 1/√με = v
λ
= v/f m .......................(10.3.39)
•
Hence velocity can also be expressed as,
v
= λ f m/s...(10.3.40)
•
For free space,
λ
= v0/f = c/f ...(10.3.41)
•
Let us summarize the equations describing the propagation of electromagnetic
waves in any medium in general.

•
Let us now summarize the equations which will help is describing propagation of uniform plane waves (or EM
waves) in free space as medium.
•
For free space, σ = 0, μ = μ0, ε = ε0

Ex. 10.3.1
A uniform plane wave
is travelling in x-direction in free space.
Find i) Phase constant, ii) Phase velocity and iii) Expression for 
Sol. :
A wave travelling in x-direction with the electric field in y-direction can be
expressed as,

where
Ey0 is the magnitude of the electric field in y-direction.
By
comparing the given expression of
with equation (1), we can write,
ω
= 2π × 108 rad/sec. and Ey0 = 10 V/m
For
free space εr = 1 = μr. For a uniform plane wave in free
space, v = ω/β
In
free space, v = c = 3 × 108 m/sec. Hence phase constant is given by,
β
= ω/v = 2 × π × 108/3 × 108 = 2.09435 rad/m
For
free space, the intrinsic impedance is given by,
η0
= 120 π = 377 Ω
The
magnitude of the magnetic field is given by,
Hz0
= Ey0/ η0 = 10/377= 0.026525 A/m
=
26.5251 mA/m
As
wave is trvelling in positive x-direction and the electric field is in
y-direction, the magnetic field must be in positive z-direction. Hence the
magnetic field expression can be given as,

Substituting
the values of Hy0, ω and β we can write,

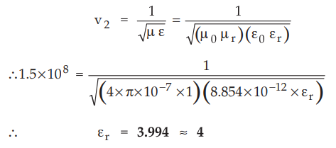
Ex. 10.3.2 A uniform plane wave has a
wavelength of 2 cm in free space and 1 cm in a perfect dielectric (σ=0, μr
= 1). Determine the relative permittivity of the dielectric.
Sol. : In
free space, the velocity of propagation is given by,
v1=
c = 3 × 108 m/s
The
wavelength in medium 1 i.e. free space is related with frequency given by the
expression,
λ1
= c/f
Hence
the frequency is given by,
f
= c/λ1 = 3 × 108/ 2 × 10-2 = 15 × 109
Hx
=
15 GHz
Now
the same wave travels in perfect dielectric medium, with wavelength λ2
=1 cm =1×10−2 Even if the wave travels in another medium, frequency
f remains same. Hence the velocity of wave in the perfect dielectric is given
by,
v2
= fλ2 = (15×109) (1×10-2)=1.5×108
m/s
For
the perfect dielectric, the velocity of the wave can be expressed as,

Hence
the relative permittivity of the dielectric is εr = 4.
Ex.
10.3.3 An
field in free space is given as 
Find
i) β, ii) λ, iii)
at P (0.1, 1.5, 0.4) at t = 8 nsec.
Sol.
:
i)
For uniform plane wave in free space,
β
= ω/c = 108 / 3 × 108 = 0.3333 rad/m
ii)
λ
= 2π/ β = 2π / 0.3333 = 18.85 m
iii)
The magnetic field intensity in the free space is given by,

For
free space, η0= 120π=377Ω. Since power flow is in y-direction and
is in z-direction, the direction of
will be + x-direction.

Ex. 10.3.4
A uniform plane wave in air has,
Calculate β and λ.
Sol. :
The standard form of an electric field intensity is given by
= Em cos (ωt - βz)
Comparing,
we can write,
ω
= 2π × 106 rad/sec i.e.
2πf
= 2π × 106 i.e. f = 106 Hz
Now
wavelength is given by
λ
= v/f = c/f
As
uniform plane wave propagates in air i.e. free space, the velocity of wave
equals to that of light in free space i.e. c = 3 × 108 m/sec
λ
= 3 × 108/106 = 300m
But
β =2π/λ= 2 × 3.142/300 = 0.0209 rad/m
Ex. 10.3.5 If a wave with 100 MHz frequency
propagates in free space find propagation constant.
Sol. : Given
: f =100 MHz = 100 × 106 Hz
Medium
is free space. Hence µ = µ0 and ε = ε0
By
definition, the propagation constant of a wave in a free space is given by,

But
for free space, σ = 0. Hence the expression for ɤ can be written as,

= j 2.0958 = 2.0958 ∠ 90° m-1
Ex. 10.3.6 The electric field intensity
associated with a plane wave travelling in a perfect dielectric medium is given
by Ex(z,t) = 10cos(2π × l07t - 0.1 πz) V/m. What is the
velocity of propagation ?AU
: May-18, Marks 6
Sol. :
Comparing the equation with standard equation,
Ez(z,t)
= Emcos(ωt- βz)
ω
= 2π × 107 rad/sec, β = 0.1 K rad/m
Thus
the velocity of propagation is,
v
= ω/β = 2π × 107/0.1π = 2 ×
108 m/s
Examples for Practice
Ex. 10.3.7
The electric field in free space is given
by 
i) Find the direction of wave
propagation
ii) Calculate β and the time it
takes to travel a distance of λ / 2
Hi) Sketch the wave at t = 0, T/4
and T/2.

Ex. 10.3.8
The magnetic field intensify of uniform plane wave in air is 20 A/m along
direction.
The
wave is propagating in z-direction at a frequency of 2 × 109
rad/sec. Find
a)
Wavelength b) Frequency f c) Period d) Amplitude of
.
[Ans.
: 0.9424 m, 0.3183 GHz, 7540 V/m]
Ex.
10.3.9 A 10 GHz plane wave travelling in a free
space has an amplitude of
as Ex
= 10V/m. Find β, ɳ, v, λ and amplitude, direction of
.
[Ans.
209.58 rad/m, 2.9979 × 108 m/s, 0.03 m, 0.0265 A/m]
Review Questions
1. Define propagation
constant, attenuation constant, phase constant, intrinsic impedance. For free
space what are the values of intrinsic impedance and velocity of propagation?
2. Discuss group
velocity, phase velocity and propagation constant of electromagnetic waves.
AU May-16, Marks 8
3. Derive the
electromagnetic wave equation (in frequency domain) and the propagation
constant and intrinsic impedance.
AU: Dec.-06, 08, Marks
8
4. Derive the
electromagnetic wave equations in free space and mention the types of
solutions.
AU: Dec.-05, 12, 17,
May-17, 18, Marks 10
5. Prove that the intrinsic impedance offered by free space is 120 лΩ.
Electromagnetic Theory: Unit V: Electromagnetic Waves : Tag: : Electromagnetic Waves - Uniform Plane Waves in Free Space
Electromagnetic Theory
EE3301 3rd Semester EEE Dept | 2021 Regulation | 3rd Semester EEE Dept 2021 Regulation