• A unijunction transistor (UJT) is a device which does not belong to thyristor family but is used to turn ON SCRs.
Unijunction Transistor (UJT)
•
A unijunction transistor (UJT) is a device which does not belong to thyristor
family but is used to turn ON SCRs.
•
It is a three terminal device, having two layers. It consists of a slab of
lightly doped n type silicon material. The two base contacts are attached to
both the ends of this n type surface. These are denoted as B1 and B2
respectively. A p-type material is used to form a p-n junction at the boundary
of the aluminium rod and n type silicon slab. The third terminal called emitter
(E) is taken out from this p-type material. The n-type is lightly doped while p
type is heavily doped. The basic construction is shown in the Fig. 5.1.1.

•
As n type is lightly doped, it provides high resistivity and p-type as heavily
doped, provides low resistivity.
•
The symbolic representation of UJT is shown in the Fig. 5.1.2. The emitter is
shown by an arrow which is at an angle to the vertical line representing n-type
material. This arrow indicates the direction of flow of conventional current
when the UJT is forward biased.

•
The Fig. 5.1.3 (a) shows the basic structure of UJT while the Fig. 5.1.3 (b)
shows the equivalent circuit of UJT.

• The internal resistances of the two bases are represented as RB1 and RB2. In the actual construction, the terminal E is closer to B2 as compared to Br Hence resistance RB1 is more than the resistance RB2. The p-n junction is represented by a normal diode with VD as the drop across it.
•
When the emitter diode is not conducting then the resistance between the two
bases B1 and B2 is called interbase resistance denoted as
RBB.
RBB
= RB1 + RB2
•
Its value ranges between 4 kΩ and 12 kΩ.
•
Consider UJT as shown in the Fig. 5.1.4 to which supply VBB is
connected. With IE = 0 i.e. emitter diode is not conducting,
RBB
= RB1 + RB2

•
Then the voltage drop across RBI can be obtained by using potential
divider rule.
•
The typical range of r| is from 0.5 to 0.8. The voltage VRB1 is called
intrinsic stand off voltage because it keeps the emitter diode reversed biased
for all the emitter voltages less than VRB1.
4. Principle of Operation
•
While operating an UJT, the supply VBB is applied between B2
and B1 while the variable emitter voltage VE is applied
across the emitter terminals. This arrangement is shown in the Fig. 5.1.5.

•
Let us see the effect of change in VE. The potential of A is decided
by η and is equal to η VBB
Case
1 :
VE < VA
•
As long as VE is less than VA , the p-n junction is
reverse biased. Hence emitter current IE will not flow. Thus UJT is said to be
OFF.
Case
2 :
VE > Vr
•
The diode drop VD is generally between 0.3 to 0.7 V. Hence we can
write,
VP
= VA + VD = η VBB + VD
•
When VE becomes equal to or greater than Vp the p-n junction becomes forward
biased and current IE flows. The UJT is said to be ON.
•
The graph of emitter current against emitter voltage plotted for a particular
value of VBB called the characteristics of UJT. For a particular fixed value of
VBB such characteristics is shown in the Fig. 5.1.6.

•
The characteristics can be divided into three main regions which are,
1.
Cut-off region : The emitter voltage VE is less than Vp
and the p-n junction is reverse biased. A small amount of reverse saturation
current IEO flows through the device, which is negligibly small of the order of
u.A. This condition remains till the peak point.
2.
Negative resistance region : When the emitter
voltage VE becomes equal to VP the p-n junction becomes forward biased and IE
starts flowing. The voltage across the device decreases in this region, though
the current through the device increases. Hence the region is called negative
resistance region. This decreases the resistance RB1. This region is stable and
used in many applications. This region continues till valley point.
3.
Saturation region : Increase in IE further valley point
current IV drives the device in the saturation region. The voltage
corresponding to valley point is called valley point voltage denoted as Vv In
this region, further decrease in voltage does
not take place. The characteristic is similar to that of a semiconductor diode,
in this region.
•
The active region i.e. negative resistance region, the holes which are large in
number on p-side, get injected into n-side. This causes increase in free
electrons in the n-type slab. This increases the conductivity i.e. decreases
the resistivity. Hence the resistance RB1 decreases in this region.
•
As the VBB increases, the potential VP
corresponding to peak point will increase.
6. Applications
•
The UJT is mainly used in the triggering of other devices such as SCR. It is
also used in the sawtooth wave generators and some timing circuits. The most
popular application of UJT is as a relaxation oscillator to obtain short pulses
for triggering of SCRs. Let us discuss UJT relaxation oscillator in detail.
•
The pulse signal required to drive the digital circuits can be obtained from a
single stage oscillator circuits using a particular device like unijunction
transistor. Such a oscillator which uses UJT is called UJT relaxation
oscillator. The basic circuit of UJT relaxation oscillator is shown in the Fig.
5.1.7. This is also called UJT based sawtooth oscillator.

•
The R1 and R2 are biasing resistances which are selected
such that they are lower than interbase resistances RBI and RB2
. The resistance RT and the capacitance CT decide the oscillating rate. The
value of RT is so selected that the operating point of UJT remains in the
negative resistance region. The UJT characteristics and the negative resistance
region of the characteristics are shown in the Fig. 5.1.8 The characteristics
of UJT shows the variation between VE and IE, where VE is
emitter voltage and IE is emitter current.

a.
Operation
•
Capacitor CT gets charged through the resistance RT
towards supply voltage VBB. As long as the capacitor voltage is less than peak
voltage VP, the emitter appears as an open circuit.
VP
= η VBB + VD … (5.1.1)
where
η = Stand off ratio of UJT
VD
= Cut-in voltage of diode
•
When the capacitor voltage VC exceeds the voltage Vp, the UJT fires. The
capacitor starts discharging through R1 + RB1 where RB1 internal base
resistance. As RBI is assumed negligible and hence capacitor discharges through
R1.
•
Due to the design of R1z this discharge is very fast, and it produces a pulse
across Rr When the capacitor voltage falls below VV i.e. VC = VE = VV, the UJT
gets turned OFF. The capacitor starts charging again.
•
The discharge time of the pulse is controlled by the time constant CTR1 while
the charging time constant by RTCT- The waveforms are shown in the Fig. 5.1.9.

•
There is voltage drop across R2 voltage rise across R1, when UJT fires.
The
charging equation of the capacitor is given by,

Ex.
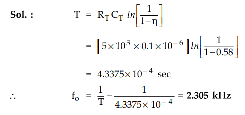
5.1.1 In a UJT relaxation oscillator, RT = 5kΩ, CT = 0.1 µF and n = 0.58. Find
the frequency of the oscillations.
Sol
:

Ex.
5.1.2 The intrinsic stand-off ratio for a UJT is 0.6. It the inter base
resistance is 10 kΩ, what are the value of RB1 and R B2
Sol
:

Review Questions
1. Explain the working of UJT as a relaxation oscillator with
necessary waveforms and derive the expression for frequency of oscillations.
AU : Dec.-09, 10, 11, 16, Marks 8, May-13, Marks 16
2. Explain the construction, equivalent circuit and the
operation of UJT and draw its characteristics.
AU : May-08, 09, 10, 15, Dec.-ll, 15, Marks 8
3. Draw the equivalent circuit of UJT and define the intrinsic
stand off ratio.
4. Write a detailed note on UJT based sawtooth oscillator.
5. Explain the operation of UJT.
6. Discuss the characteristics and applications of UJT.
Electron Devices and Circuits: Unit II: (d) UJT Thyristor and IGBT : Tag: : Construction, Principle of Operation, Symbols, Equivalent Circuit, Characteristics, Applications, Solved Example Problems - Unijunction Transistor (UJT)
Electron Devices and Circuits
EC3301 3rd Semester EEE Dept | 2021 Regulation | 3rd Semester EEE Dept 2021 Regulation