Vector or Cross Product of Vectors
Vector or
Cross Product of Vectors
AU : May-07
•
Consider the two vectors
the cross product is denoted as
and defined as the product of the
magnitudes of
and the sine of the smaller angle between
. But this product is a vector
quantity and has a direction
perpendicular to the plane containing the two vectors
.
But for any plane there are two perpendicular directions, upwards and
downwards. To avoid the confusion, the direction of the cross product is along
the perpendicular direction to the plane which is in the direction of
advancement of a right handed screw
when
is turned into
. Thus right hand screw rule decides the
direction of the cross product.
•
Mathematically the cross product is expressed as,
...(1.11.1)
where
= Unit vector perpendicular to the plane of
and
in the
direction decided by the right hand screw rule.
The
concept of
is shown in the Fig. 1.11.1.

•
The various properties of cross product are,
1.
The commutative law is not applicable
to the cross product. Thus,
...
(1.11.2)
•
Consider the two vectors as shown in the Fig. 1.11.2 (a). Then
gives
unit vector
in the upward direction. But if
is obtained then
direction of
must be determined by rotating
into
which
results into downward direction. This is shown in the Fig. 1.11.2 (b).

•
Hence cross product is not commutative.
2.
Reversing the order of the vectors
a unit vector
reverses
its direction hence we can write,
... (1.11.3)
•
It is anticommutative in nature.
•
If order of cross product is changed, the magnitude remains same, but direction
gets reversed.
3.
The cross product is not associative. Thus,
... (1.11.4)
•
4. With respect to addition the cross product is distributive. Thus,
...(1.11.5)
5.
If the two vectors are parallel to
each other i.e. they are in the same direction then 0 = 0° and hence cross
product of such two vectors is zero.
•
Thus if cross product of the two vectors is zero then those two vectors are
parallel i.e. are in the same direction, assuming none of the two vectors
itself is zero.
6.
If the cross product of a vector
with itself is calculated, it is
zero as θ = 0°
..
(1.11.6)
7.
Cross product of unit vectors :
Consider the unit vectors
which are mutually
perpendicular to each other, as shown in the Fig. 1.11.3.

•
But if the order of unit vectors is reversed, the result is negative of the
remaining third unit vector. Thus,
...
(1.11.10)
•
This can be remembered by a circle indicating cyclic permutations of cross
products of unit vectors as shown in the Fig. 1.11.4.

•
While as cross product of vector with itself is zero
we
can write,
... (1.11.11)
•
The result is applicable for the unit vectors in the remaining two co-ordinate
systems.
•
From the Fig. 1.11.5 we can write,

Key
Point : The clockwise direction gives negative result.
8.
Cross product in determinant form : Consider the two vectors in the cartesian
system as,

•
Then the cross product of the two vectors is,

•
The different applications of cross product are,
1.
The cross product is the replacement to the right hand rule used in electrical
engineering to determine the direction of force experienced by current carrying
conductor placed in a magnetic field.
•
Thus if I is the current flowing through conductor while
is the vector
length considered to indicate the direction of current through the conductor.
The uniform magnetic flux density is denoted by vector
Then the force
experienced by conductor is given by,

2.
Another physical quantity which can be represented by cross product is moment of a force. The moment of a
force (or torque) acting on a rigid body, which can rotate about an axis
perpendicular to a plane containing the force is defined to be the magnitude of
the force multiplied by the perpendicular distance from the force to the axis.
This is shown in the Fig. 1.11.6.

•
The moment of force
. Its magnitude is
sin θ where
sin θ is the perpendicular distance of
from
O i.e. OQ.
.•
is the unit vector indicating direction of
which is perpendicular to the plane i.e. paper and coming out of paper
according to right hand screw rule.
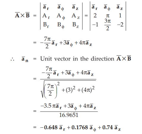
Ex. 1.11.1
If two vectors are expressed in
cylindrical co-ordinates as
Compute
a unit vector perpendicular to the plane containing A and B. AU : May-07, Marks 6
Sol. :
The
Perpendicular vector to the plane containing
is given by their
cross product.

Examples for Practice

Review Question
1. Define cross
product of vectors. State its properties and applications.
Electromagnetic Theory: Unit I: (a) Vector Analysis : Tag: : Properties, Applications, Solved Example Problems - Vector or Cross Product of Vectors
Electromagnetic Theory
EE3301 3rd Semester EEE Dept | 2021 Regulation | 3rd Semester EEE Dept 2021 Regulation