Probability and complex function: Unit V: Differential equations : problems based on P.I.= 1/f(D) eax ⇒ Replace D by a : Example
1. (b) PROBLEMS BASED ON P.I.= 1/f(D) eax ⇒Replace D by a
Example
5.1.10 (a) Solve (D2 - 4D +13) y = e2x.
Solution:
Given: (D2 - 4D + 13) y = e2x
The
auxiliary equation is m2 - 4m + 13 = 0

Example
5.1.10(b) Solve: y'' + 7y' - 8y = e2x
Solution:
Given: [D2 + 7D - 8] y = e2x
The
auxiliary equation is m2 + 7m – 8 = 0 ⇒ m = 1, m = −8
C.F
= A ex + Be-8x
P.I
= (1/ D2 + 7D – 8) e2x = (1 / 4 + 14 – 8) e2x
[Replace
D by 2]
=
1 / 10 e2x
y
= C.F + P.I
y
= A ex + Be-8x + 1/10 e2x
Example
5.1.10(c) Find the particular integral of (D2 + 4D+8) y = e2x
[A.U
M/J 2016 R-8]
Solution:
P.I = 1 / D2 + 4D + 8 e2x
=
(1 / 4 + 8 + 8) e2x
[Replace
D by 2]
=
1/ 20 e2x
Example
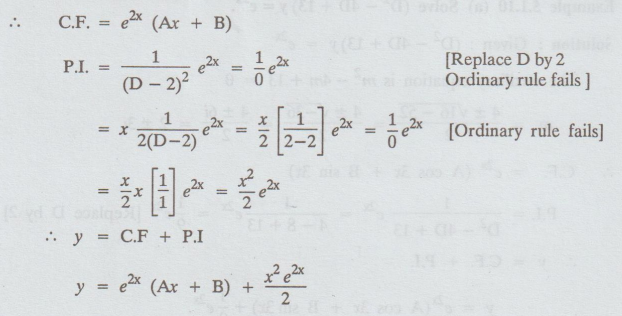
5.1.11 (a) Solve (D - 2)2 y = e2x.
Solution:
Given: (D - 2)2 y = e2x
The
auxiliary equation is (m - 2)2 = 0
i.e.,
m = 2, 2.

Example
5.1.11 (b) Find the particular integral of (D2 - 4D + 4) y = 2x
[A.U
N/D 2012]
Solution:
Given:
(D2 - 4D + 4) y = 2x
i.e.,
(D - 2)2 y = 2x = elog2x = e(log2x)
P.I
= 1 / (D – 2)2 elog2x = 1 / (log2 – 2)2 elog2x
[Replace
D by log 2]
Example
5.1.12 Solve (D2 + 7D + 12) y = 14 e-3x
[A.U
M/J 2016 R-8]
Solution:
Given: (D2 + 7D + 12) y = 14e-3x
The
auxiliary equation is m2 + 7m + 12 = 0
⇒ m = -3, m = -4

Example
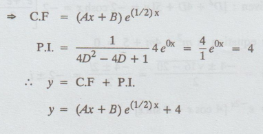
5.1.13. Solve (4D2 - 4 D + 1) y = 4.
Solution:
Given: (4 D2 - 4D + 1)y = 4
The
auxiliary equation is 4m2 - 4m + 1 = 0
m
= 1/2, 1/2

Example
5.1.14 Solve (D2 - 4) y = 1
[A.U
N/D 2013 R-8]
Solution:
Given: (D2 - 4) y = e0x
The
auxiliary equation is m2 - 4 = 0
⇒ m = ±2

Example
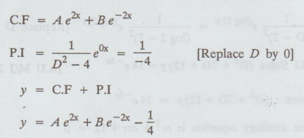
5.1.15. Solve (D2 - 4) y = e2x + e-4x.
Solution:
Given: (D2 - 4) y = e2x + e ̄4x
The
auxiliary equation is m2 – 4 = 0

Example
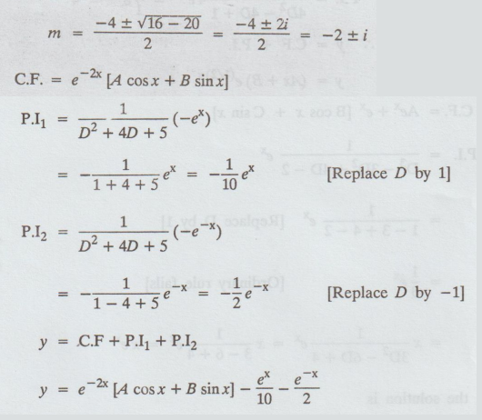
5.1.16. Solve d2y / dx2 + 4 dy/dx + 5y = -2 cosh x
[AU, April 2002]
Solution:

The
auxiliary equation is m2 + 4m +5 = 0

Example
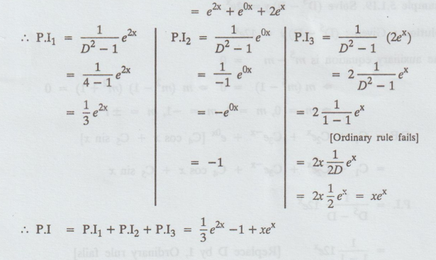
5.1.17. Find the P.I of (D2-1) y = (ex + 1)2
Solution:
Given: (D2 - 1)y = (ex + 1)2
(D2
- 1)y = (ex)2 + 1 + 2ex

Example
5.1.18. Solve (D3 - 3D2 + 4D - 2) y = ex.
Solution:
Given: (D3 - 3D2 + 4D - 2)y = ex
The
auxiliary equation is m3 - 3m2 + 4m − 2 = 0
⇒ m 1, m = 1 ± i
C.F.
Aex + ex [B cos x + C sin x]
P.I.
= (1 / D3 - 3D2 + 4D – 2) ex
=
(1 / 1 – 3 + 4 – 2) ex [Replace D by 1]
=
1/0 ex [Ordinary rule fails]
=
x (1 / (1 / D3 - 3D2 + 4D – 2) ex
=
x ( 1 / 3 – 6 + 4)ex = xex
Hence,
the solution is
y
= C.F. + P.I
y
= Aex + ex [B cos x + C sin x] + x ex
Example
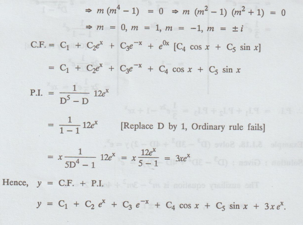
5.1.19. Solve (D5 - D) y = 12 ex.
Solution:
Given: (D5 - D)y = 12ex
The
auxiliary equation is m5 – m = 0

Probability and complex function: Unit V: Ordinary Differential Equations : Tag: : Solved Example Problems | Ordinary Differential Equations - (b) Problems based on P.I.= 1/f(D) eax ⇒ Replace D by a
Probability and complex function
MA3303 3rd Semester EEE Dept | 2021 Regulation | 3rd Semester EEE Dept 2021 Regulation