Probability and complex function: Unit V: Differential equations : Problems based on R.H.S. = eax X : Differential equations
1.(f) PROBLEMS BASED ON R.H.S.
= eax X
Example
5.1.37 Obtain the particular integral of
(D2
- 2D + 5)y = ex cos 2x.
Solution:

Example
5.1.38 Find the particular integral of (D2 + 2D + 1) y = e-x
x2
Solution:

Example
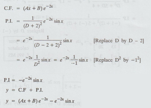
5.1.39. Solve (D + 2)2 y = e -2x sin x
Solution:
Given: (D+ 2)2y = e -2x sin x
The
auxiliary equation is (m + 2)2 = 0
⇒ m = -2, -2

Example
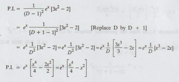
5.1.40. Obtain the P.I. of (D2 - 2D + 1) y = ex (3x2
– 2)
Solution:
Given:
(D2 - 2D + 1) y = ex (3x2 – 2)

Example
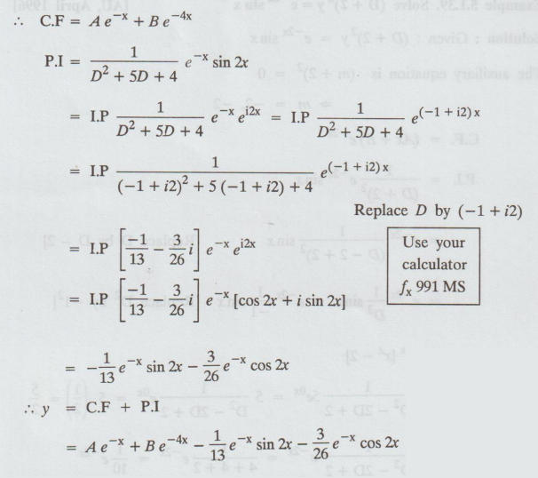
5.1.41 Solve (D2 + 5D + 4) y = e-x sin 2x
[A.U
N/D 2012]
[A.U
A/M 2017 R-13]
Solution
:
Given:
(D2 + 5D + 4) y = e-x sin 2x
The
auxiliary equation is m2 + 5m +
= 0
⇒ m = -1, m = -4

Example
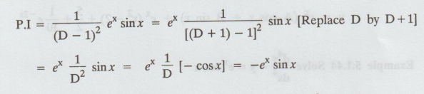
5.1.42 (a). Find the particular integral of (D - 1)2 y = ex
sin x.
Solution:
Given:
(D - 1)2 y = ex sin x.

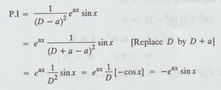
Example
5.1.42 (b) Find the particular integral of (D - a)2 y = eax
sinx
Solution: Given: (D - a)2 y = eax sin x

Example
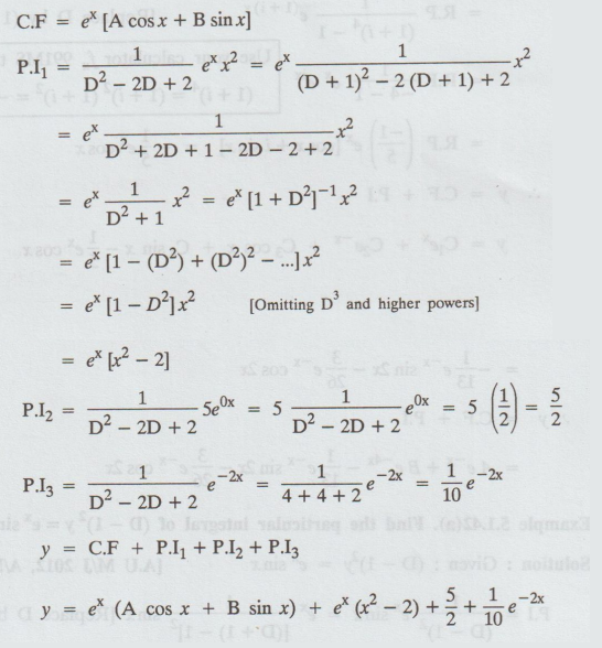
5.1.43. Solve (D2 - 2D + 2)y = ex x2 + 5+ e-2x.
[A.U A/M 2003]
Solution:
Given: (D2 - 2D + 2)y = ex x2 + 5+ e-2x.
The
auxiliary equation is m2 - 2m + 2 = 0; m = 1±i

Example
5.1.44 Solve d4y / dx4 – y = ex cos x
Solution
:
Given
: d4y / dx4 – y = ex cos x i.e., (D4
– 1)y = ex cos x

Probability and complex function: Unit V: Ordinary Differential Equations : Tag: : Solved Example Problems | Ordinary Differential Equations - (f) Problems based on R.H.S. = eax X
Probability and complex function
MA3303 3rd Semester EEE Dept | 2021 Regulation | 3rd Semester EEE Dept 2021 Regulation