Physics for Electrical Engineering: Unit II: Electrical and Magnetic Properties of Materials : Anna university solved problem
ANNA UNIVERSITY
SOLVED PROBLEM
Problem 2.3
Use Fermi distribution function to
obtain the value of F(E) for E-EF=0.01 eV at 200 K. do
(A.U. May 2015)
Given data
E
– EF = 0.01 eV = 0.01 × 1.6 × 10-19 J = 1.6 × 10-21
J
Temperature
T = 200 K
Boltzmann's
constant k = 1.38 × 10-23 JK-1
Solution
We
know that F (E):

=1
/ 2.7855
F
(E) = 0.359
Effect of Temperature on Fermi
Function
The
dependence of Fermi - distribution function on temperature and its effect on
the occupancy of energy level is shown in fig. 2.10 (a) and (b). 2.10 (a)

Case (i) Probability of occupation
for E <EF at T=0 K
When
T = 0 K and E < EF then applying the values in the expression, we
have

F(E)
= 1
Thus
at T=0 K, there is 100% chance for the electrons to occupy the energy levels
below Fermi energy level ie., all the energy levels are occupied by the
electrons.
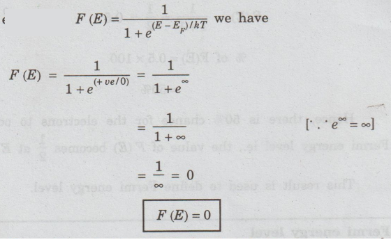
Case (ii) Probability of occupation
for E > EF at T=0 K
When
T = 0 K and E > EF,
then applying the values in the expression F (E) =

F
(E) = 0
Thus,
there is 0% chance for the electrons to occupy the energy level above Fermi
energy level ie., all the energy levels above Fermi energy level are not
occupied by the electrons (empty).
From
the above two cases, at T= 0K the variation of F (E) for different energy values
become a step function as shown in fig 2.10(a).
Case (iii) Probability of
occupation at ordinary temperature
At
ordinary temperature, the value of the probability function starts reducing
from 1 for energy values E slightly less than EF.
With
the increase of temperature, i.e., T >0
K, Fermi function F (E) varies with E as shown in fig. 2.10(b).
At
any temperature other than OK and E=EF
F(E)
= 1 / 1+e0
F(E)
= 1/ 1+1 = ½ =0.5 e0 = 1
%
of F(E)=0.5 × 100
=
50%
Hence,
there is 50% chance for the electrons to occupy Fermi energy level ie., the
value of F (E) becomes ½ at E = EF
This
result is used to define Fermi energy level.
Fermi energy level
• It is the energy level at any
finite temperature above 0K at which the probability of electro occupation is ½
or 50%.
• It is also the energy level of
maximum energy of the filled states at 0 K.
Further for E> EF the
probability value falls off rapidly to zero (Fig 2.10(b)).
Case (iv) At high temperature
When
kT >> EF or T → ∞, the electrons lose their Baal vir quantum
mechanical character. Now, Fermi distribution east function reduces to
classical Boltzmann distribution.
Uses of Fermi distribution function
•
It gives the probability of an electron occupancy for a given energy level at a
given temperature.
•
It is very useful to find the number of free electrons per unit volume at a
given temperature.
•
It is used to find Fermi energy of the metal.
Physics for Electrical Engineering: Unit II: a. Electrical Properties of Materials : Tag: : Electrical Properties of Materials | Physics for Electrical Engineering - Anna university solved problem
Physics for Electrical Engineering
PH3202 2nd Semester 2021 Regulation | 2nd Semester EEE Dept 2021 Regulation