• Consider a boundary between conductor and free space. The conductor is ideal having infinite conductivity. Such conductors are copper, silver etc.
Boundary Conditions between Conductor and Free Space
AU
: May-10, 18, Dec.-13, 18
•
Consider a boundary between conductor and free space. The conductor is ideal
having infinite conductivity. Such conductors are copper, silver etc. having
conductivity of the order of 106 S/m and can be treated ideal. For
ideal conductors it is known that,
1.
The field intensity inside a conductor is zero and the flux density inside a
conductor is zero.
2.
No charge can exist within a conductor. The charge appears on the surface in
the form of surface charge density.
3.
The charge density within the conductor is zero.
•
Thus
and ρv within the conductor are zero. While ρ S is the surface
charge density on the surface of the conductor.
•
To determine the boundary conditions let us use the closed path and the
Gaussian surface.
•
Consider the conductor free space boundary as shown in the Fig. 5.8.1.

•
Let
be the electric field intensity, in the direction shown in the
Fig. 5.8.1, making some angle with the boundary. This
can be resolved
into two components :
1.
The component tangential to the surface
2.
The component normal to the surface 
It
is known that,

•
The integral of
carried over a closed contour is zero i.e. work
done in carrying unit positive charge along a closed path is zero.
•
Consider a rectangular closed path as shown in the Fig. 5.8.1. It is
traced in clockwise direction as a-b-c-d-a and hence
can be
divided into four parts.

•
The closed contour is placed in such a way that its two sides a-b and c-d are
parallel to tangential direction to the surface while the other two are normal
to the surface, at the boundary.
•
The rectangle is an elementary rectangle with elementary height A and
elementary width Aw. The rectangle is placed in such a way that half of it is
in the conductor and remaining half is in the free space. Thus ^/2 is in the
conductor and Δh/2 is in the free space.
•
Now the portion c-d is in the conductor where
= 0 hence the
corresponding integral is zero.

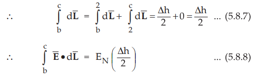
•
As the width Aw is very small, E over it can be assumed constant and hence can
be taken out of integration.

•
But Δw is along tangential direction to the boundary in which direction

•
Now b-c is parallel to the normal component so we have
along this
direction. Let
.
•
Over the small height Δh, EN
can be assumed constant and can be taken out of integration.

•
But out of b-c, b-2 is in free space and 2-c is in the conductor where
= 0.

•
Similarly for path d-a, the condition is same as for the path b-c, only
direction is opposite.

Substituting
equation (5.8.4), (5.8.8) and (5.8.9) in (5.8.3) we get,

•
Thus the tangential component of the electric field intensity is zero at the
boundary between conductor and free space.
Key
Point : Thus the
at the boundary between conductor
and free space is always in the direction perpendicular to the boundary.

•
Thus the tangential component of electric flux density is zero at the boundary
between conductor and free space.
Key
Point : Hence electric flux density
is also
only in the normal direction at the boundary between the conductor and the free
space.
•
To find normal component of
, select a closed Gaussian surface in
the form of right circular cylinder as shown in the Fig. 5.8.1. Its height is
Ah and is placed in such a way that Δh/2 is in the conductor and remaining Δh/2
is in the free space. Its axis is in the normal direction to the surface.
•
According to Gauss's law,

•
The surface integral must be evaluated over three surfaces,
i)
Top, ii) Bottom and iii) Lateral.
•
Let the area of top and bottom is same equal to ΔS.

•
The bottom surface is in the conductor where
= 0 hence corresponding
integral is zero.
•
The top surface is in the free space and we are interested in the boundary
condition hence top surface can be shifted at the boundary with Δh → 0.

•
The lateral surface area is 2 π r Δh where r is the radius of the cylinder. But
as Δh → 0, this area reduces to zero and corresponding integral is zero.
•
While only component of
present is the normal component having
magnitude DN The top surface is very small over which DN
can be assumed constant and can be taken out of integration.

From
Gauss's law,
DN
ΔS = Q ... (5.8.16)
•
But at the boundary, the charge exists in the form of surface charge density ρS
C / m2.
Q
= ρS ΔS …. (5.8.17)
Equating
equation (5.8.16) and (5.8.17),
DN
ΔS = ρS ΔS
DN = ρS ... (5.8.18)
•
Thus the flux leaves the surface normally and the normal component of flux
density is equal to the surface charge density.
DN = Ɛ0 EN = ρS ... (5.8.19)
EN
= ρS / Ɛ0 ... (5.8.20)
Key
Point : Note that as the tangential
component of ,
the surface of the conductor is an equipotential surface. The potential
difference along any path on the surface of the conductor is
the
potential difference is zero. Thus all points on the conductor surface are at
the same potential.
•
The free space is a dielectric with Ɛ = Ɛ0. Thus if the boundary is
between conductor and dielectric with Ɛ = Ɛ0 Ɛr.

Ex.
5.8.1 A potential field is given as V = 100 e-5x sin 3y cos 4z V.
Let
point P (0.1, π/12, π/24) be located at a conductor free space boundary. At
point P, find the magnitudes of,

Examples
for Practice
Ex.
5.8.2 The electric field intensity at a point on the
surface of a conductor is given by

Find
the surface charge density at that point.
[Ans.:
3.6506 pC/m2]
Ex.
5.8.3 Given the potential V = 10 (x2 + xy) and
a point P(2, - 1, 3) on a conductor to free space boundary find 

Review Question
1. Explain and derive the boundary conditions for a conductor
free space interface.
Electromagnetic Theory: Unit II: (b) Conductors, Dielectrics and Capacitance : Tag: : - Boundary Conditions between Conductor and Free Space
Electromagnetic Theory
EE3301 3rd Semester EEE Dept | 2021 Regulation | 3rd Semester EEE Dept 2021 Regulation