• Let us consider the boundary between two perfect dielectrics. One dielectric has permittivity Ɛ1 while the other has permittivity Ɛ2.
Boundary Conditions between Two Perfect Dielectrics
AU
: May-07,08,10,12,13,17,18, Dec.-04,05,08,ll,12,13,14,17,18
•
Let us consider the boundary between two perfect dielectrics. One dielectric
has permittivity Ɛ1 while the other has permittivity Ɛ2.
The interface is shown in the Fig. 5.9.1.

•
The
are to be obtained again by resolving each into two
components, tangential to boundary
and normal to the surface.
•
Consider a closed path abcda rectangular in shape having elementary height Ah
and elementary width Aw, as shown in the Fig. 5.9.1. It is placed in such a way
that Δh/2 is in dielectric 1 while the remaining is dielectric 2. Let us
evaluate the integral of
along this path, tracing it in clockwise
direction as a-b-c-d-a.

•
Both
in the respective dielectrics
have both the components, normal and tangential.

•
Now for the rectangle to be reduced at the surface to analyse boundary
conditions, Δh → 0. As
become zero as these are line integrals
along Δh and Δh → 0. Hence equation (5.9.2) reduces to,

•
Now a-b is in dielectric 1 hence the corresponding component of
is Etan1
as a-b direction is tangential to the surface.

•
While c-d is in dielectric 2 hence the corresponding component of
is Etan2 as c-d
direction is also tangential to the surface. But direction c-d is opposite to
a-b hence corresponding integral is negative of the integral obtained for path
a-b.

Substituting
equation (5.9.6) and (5.9.7) in (5.9.5) we get,
Etan1
Δw - Etan2 Δw = 0
Etan1
= Etan2 … (5.9.7)
•
Thus the tangential components of field intensity at the boundary in both the
dielectrics remain same i.e. electric field intensity is continuous across the
boundary.
•
The relation between
is known as,

•
Hence if D tan 1 and D tan 2 are magnitudes of the
tangential components of
in dielectric 1 and 2 respectively then,

•
Thus tangential components of
undergoes some change across the
interface hence tangential
is said to be discontinuous across the
boundary.
•
To find the normal components, let us use Gauss's law. Consider a Gaussian
surface in the form of right circular cylinder, placed in such a way that half
of it lies in dielectric 1 while the remaining half in dielectric 2. The height
Δh → 0 hence flux leaving from its lateral surface is zero. The surface area of
its top and bottom is ΔS.

•
The flux leaving normal to the boundary is normal to the top and bottom
surfaces.
|
| = DN1 for dielectric 1 and DN2 for
dielectric 2.
•
And as top and bottom surfaces are elementary, flux density can be assumed
constant and can be taken out of integration.

•
For top surface, the direction of DN is entering the boundary while
for bottom surface, the direction of DN is leaving the boundary.
Both are opposite in direction, at the boundary.

•
There is no free charge available in perfect dielectric hence no free charge
can exist on the surface. All charges in dielectric are bound charges and are
not free. Hence at the ideal diectric media boundary the surface charge density
ρs can be assumed zero.

•
Hence the normal component of flux density
is continuous at the
boundary between the two perfect dielectrics.

•
The normal components of the electric field intensity
are inversely
proportional to the relative permitivities of the two media.
1. Refraction of
at the Boundary
•
The directions of
change at the boundary between the two
dielectrics.

•
This is called law of refraction. Thus the angles θ1 and θ2
are dependent on permitivities of two media and not on
.
•
Thus if Ɛ1 > Ɛ2, then θ1 > θ2.
•
The magnitude of
in region 2 can be obtained as,

To
find the angles θ1 and θ2, with respect to normal use the
dot product if normal direction to the boundary is known.
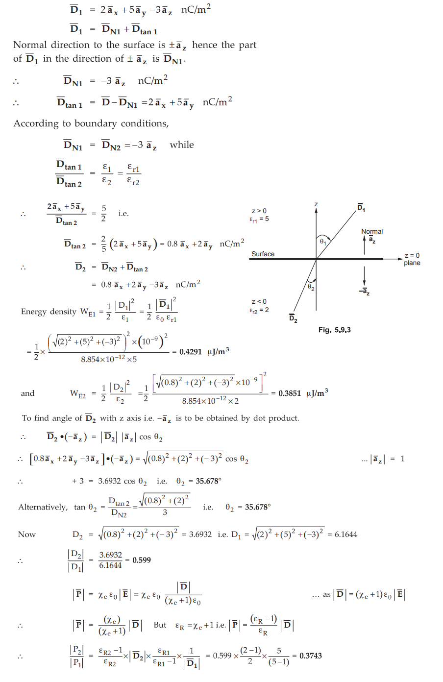
Ex.
5.9.1 The region with z < 0 is characterised by
Ɛr2
= 2 and z > 0 by Ɛr1 = 5. If

Sol.
:
The two media are separated by z = 0 plane and ±
are the
directions of normal to the surface.

Ex.
5.9.2 Consider the boundary between two media. Show that the angles between the
normal to the boundary and the conductivities on either side of the boundary
satisfy the relation
tan θ1 / tan θ2 = σ1
/ σ2
Sol.
:
The arrangement is shown in the Fig. 5.9.4.

•
The electric field intensities are
in media 1 and 2
respectively.
•
As per boundary conditions,
Etan1
= Etan2
•
While
are current densities in the two media. Similar to flux
densities
the boundary condition for current densities
states that JN1 = JN2

Ex.
5.9.3 A dielectric-free space interface has the equation 3x + 2y + z = 12 m. The
origin side of the interface has Ɛn = 3.0 and
Find
AU
: Dec.-05, Marks 10
Sol.
:
The interface is shown in the Fig. 5.9.5 by its intersections with axes.

...
Unit normal vector on free space side

Ex.
5.9.4 The interface between a dielectric medium having relative permittivity 4
and free space is marked the y = 0 plane. If the electric field next to the
interface in the free space region is given by
, determine
field on the other side of the interface.
AU
: Dec.-11, Marks 8
Sol.
:
The normal direction to the y = 0, plane is
hence out of
is the normal component of ![]()

Examples
for Practice
Ex.
5.9.5 A boundary exists at z = 0 between two
dielectrics Ɛr1 = 2.5 in region z < 0 and Ɛr2 = 4 in
the region z > 0. The field in the region of Ɛr1 is

Find
:
i)
Norma! component of E}
ii)
Tangential component of E1
iii)
Angle between and normal to the surface (given a1 ≤ 90°)
iv)
Normal component of D2
v)
Tangential component of D2
vi)
Angle a2 between E2 and normal to the surface

Ex.
5.9.6 A unit vector directed from region 1 to
region 2 at the planar boundary between two perfect dielectrics is given as 
Ex.
5.9.7 Given that:

at
the charge free dielectric interface as shown in Fig. 5.9.7 below.
Find
and angles θ1 θ2.

Review Questions
1. Derive the conditions at a boundary between the interface of
the two dielectrics in electric field.
AU : Dec.-04,05,08,12,13,17,18, May-07,08,10,17,18, Marks 8
2. Explain the law of refraction at dielectric-dielectric
interface.
3. At an interface separating dielectric l(Ɛrl) and dielectric
2(Ɛr2) show that the tangential component of
is continuous across the
boundary, whereas the normal component of
is discontinuous at the
boundary.
AU : May-13, Dec.-14, Marks 10
Electromagnetic Theory: Unit II: (b) Conductors, Dielectrics and Capacitance : Tag: : - Boundary Conditions between Two Perfect Dielectrics
Electromagnetic Theory
EE3301 3rd Semester EEE Dept | 2021 Regulation | 3rd Semester EEE Dept 2021 Regulation