The calculation of capacitance in case of conductors in three phase system which are not equally spaced is difficult. If the line is untransposed the capacitances of each phase to neutral is not same.
Capacitance of a Three
Phase Line with Unsymmetrical Spacing
May-05, 06, 11, 16, Dec.-05, 10, 14, 15,
16, 17
The calculation of capacitance in case
of conductors in three phase system which are not equally spaced is difficult.
If the line is untransposed the capacitances of each phase to neutral is not
same.
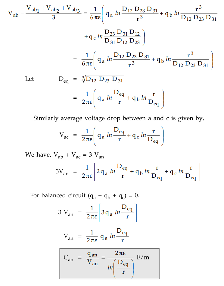
In case of transposed line the average
capacitance of each line to neutral over a complete transposition cycle is same
as the average capacitance to neutral of any other phase. Each conductor
occupies the same position of every other conductor after equal distance. The
effect of unsymmetry between the lines is small and calculations are carried
out by considering transposition of lines.
The Fig. 1.30.1 shows three phase line
with unsymmetrical spacing. The radius of each conductor is r.

When phase 'a' is in position 1, 'b' in
position 2 and 'c' is in position 3.

When phase 'a' is in position 2, 'b' in
position 3 and 'c' in position 1,

When phase 'a' is in position 3, 'b' in
position 1 and 'c' in position 2

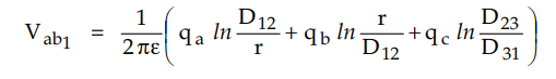
Average voltage between conductors 'a'
and 'b' is given by

Example 1.30.1
A 220 kV, 50 Hz, 200 km long three phase line has its conductors on the
comers of a triangle with sides 6 m, 6 m and 12 m. The conductor radius is 1.81
cm. Find the capacitance per phase per km, capacitive reactance per phase,
charging current and total charging Mega volt-amperes.

Solution :
Radius of conductor = 1.81 cm = 0.0181 m

Review Questions
1. Derive an expression for capacitance per km line to
neutral of a 3 phase overhead transmission line with unsymmtrical spacing of
conductors assuming transposition.
AU : May-05, 16, Marks 10, Dec.-05, 17, Marks 2, | May-06,
Marks 16, May-11, Dec.-14, 15, Marks 12
2. Determine the capacitance and charging current per km
when the transmission line as shown in Fig. 1.30.3 is operating at 132 kV. The
conductor diameter is 20 m.
[Ans.: 9.37 nF/km, 0.2244 A/km]

Transmission and Distribution: Unit I: Transmission Line Parameters : Tag: : Transmission Line Parameters - Capacitance of a Three Phase Line with Unsymmetrical Spacing
Transmission and Distribution
EE3401 TD 4th Semester EEE Dept | 2021 Regulation | 4th Semester EEE Dept 2021 Regulation