The conductors of any one bundle are in parallel and charge per bundle is assumed to divide equally between the conductors of bundle.
Capacitance of System with
Bundled Conductors
The Fig.1.31.2 shows the arrangement if the
conductors are bundled one.

The conductors of any one bundle are in
parallel and charge per bundle is assumed to divide equally between the
conductors of bundle.
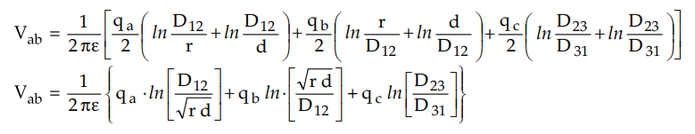
If the charge on phase a is qa then
charge on each of the conductors a and a' will be qa/2. Same is the case with
remaining two phases.

This equation is similar to the
expression we have written for 3 phase line with unsymmetrical spacing.
Combining the terms we get

Example 1.31.1
Determine the capacitance and charging current per unit length of the line
when the arrangement of the conductor is shown in Fig. 1.32.2. The line is
completely transposed and diameter is 15 mm and operating voltage is 220 kV.
AU : AU : Dec.-14, Marks 8

Solution :

Review Question
1. Explain the capacitance of a bandied conductor.
Transmission and Distribution: Unit I: Transmission Line Parameters : Tag: : - Capacitance of System with Bundled Conductors
Transmission and Distribution
EE3401 TD 4th Semester EEE Dept | 2021 Regulation | 4th Semester EEE Dept 2021 Regulation