Consider the arrangement of conductors shown in the Fig. 1.33.1.
Capacitance of Three Phase
Line with More Than One Circuit
Consider the arrangement of conductors
shown in the Fig. 1.33.1.

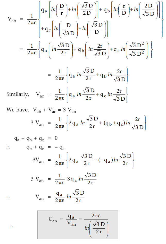
The voltage between phase a and b is
given by,

Capacitance per phase will be nothing
but 2 Can.
Example 1.33.1
If the double circuit 3 phase line has conductors of diameter 2 cm and
distance of separation 2 m in hexagonal spacing arrangement. Calculate phase to
neutral capacitance for 100 km of line.

Solution :

Example 1.33.2 A
3 phase double circuit line is as shown in the Fig. 1.33.3. The diameter of
each conductor is 2.5 cm. The line is transposed and carries balanced load.
Determine the capacitance per phase to neutral of the line. Find the charging
current per phase per km if line operates at 132 kV and 50 Hz.

Solution :
Consider the arrangement of conductors shown in Fig. 1.33.3. It consists of
three phase double circuit. The radius of each conductor is r.

The voltage between phases a and b can
be calculated in order to calculate capacitance.
We have,

Now let us find the various distances
from given problem
h = 7 m ; j = 8 m, dia - 2.5 cm, Radius
r - 1.25 cm, d = 9 m

Review Question
1. Derive the expression of capacitance of a double circuit
line for hexagonal spacing.
AU : May-04, Marks 9
Transmission and Distribution: Unit I: Transmission Line Parameters : Tag: : - Capacitance of Three Phase Line with More Than One Circuit
Transmission and Distribution
EE3401 TD 4th Semester EEE Dept | 2021 Regulation | 4th Semester EEE Dept 2021 Regulation