• The composite parallel plate capacitor is one in which the space between the plates is filled with more than one dielectric. Consider a composite capacitor with space filled with two separate dielectrics for the distances d1 and d2.
Composite Parallel Plate Capacitor (Mixed Dielectrics)
AU
: May-05, 10, 18, Dec.-13, 16, 17
•
The composite parallel plate capacitor is one in which the space between the
plates is filled with more than one dielectric. Consider a composite capacitor
with space filled with two separate dielectrics for the distances d1
and d2.
•
This is shown in the Fig. 5.16.1. The dielectric interface is parallel to the
conducting plates.

• The space d1 is filled with dielectric
having permittivity Ɛ1 while sp ace d2 is filled with dielectric
having permittivity Ɛ2.
Let
Q = Charge on each plate
= Field intensity in region d1
= Field intensity in region d2
•
Both the intensities are uniform.
V1
= E1d1
and V2 = E2d2
•
where E1 and E2 are the magnitudes of the two
intensities.
V
= V1 + V2 = E1d1 + E2d2
...(5.16.1)
At
a dielectric - dielectric interface, the normal components of flux densities
are equal i.e.
DN1
= DN2
Now D1 = Ɛ1E1 and D2
= Ɛ2E2
Substituting
in equation (5.16.1),
V
= (D1 / Ɛ1 ) d1 + (D2 / Ɛ2
) d2 (5.16.2)
The
magnitude of surface charge is same on each plate hence
ρS
= D1 = D2 (5.16.3)
Substituting
in equation (5.16.2)

Thus
the result can be generalized for a capacitor with n dielectrics as,

•
Consider the composite capacitor in which dielectric boundary is normal to the
conducting plates.
•
The dielectric Ɛ1 occupying area A1 of the plates while
the dielectric Ɛ2 occupying area A2, as shown in the Fig.
5.16.2.

•
The total potential across the two plates is V and distance between the plates
is d. Hence magnitude of
is,
E
= V / d … (5.16.8)
•
At the boundary, both
are tangential and for dielectric - dielectric
interface tangential components are equal.

•
On the plate the charge is divided into two parts.
•
On area A1, the charge density is ρS1 = D1 while
on area A2, the charge density is ρS2 = D2

•
Thus if dielectric boundary is parallel to the plates, the arrangement is
equivalent to two capacitors in series for which
While if the dielectric boundary is normal
to the plates, the arrangement is equivalent to two capacitors in parallel for
which Ceq = C1 + C2 |.
Ex.
5.16.1 A parallel plate capacitor with a separation of 1 cm has 29 kV applied,
when air was the dielectric used. Assume that the dielectric strength of air as
30 kV/cm. A thin piece of glass with Ɛr = 6.5 with a dielectric strength of 290
kV/cm with thickness 0.2 cm is inserted. Find whether glass will break or air ?
Sol.
:
The arrangement is shown in the Fig. 5.16.3.

The
dielectric strength of air is 30 kV/cm and Eair is more than that hence air
will breakdown.
The
dielectric strength of glass is 290 kV/cm and Eglass is less than
that hence glass will not breakdown.
Ex.
5.16.2 Find the capacitance of a parallel plate capacitor with dielectric Ɛr1
= 1.5 and Ɛr2 = 3.5 each occupy one half of the space between
the plates of area 2 m2 and d = 10-3 m
AU
: Dec-16, Marks 7
Sol.
:
The
arrangement is shown in the Fig. 5.16.4

Ex.
5.16.3 : A parallel plate capacitor has a plate separation t. The capacitance
with air only between the plates is C. When a slab of thickness t' and relative
permitivity Ɛ' is placed on one of the plates, the capacitance is C show that

May-18,
Marks 7
Sol.
:
With separation t and air as dielectric, the capacitor is,
C
= Ɛ0A / t
Due
to slab inserted, the capacitor becomes as shown in the Fig. 5.16.5.

Exampels
for Practice
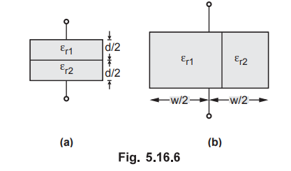
Ex.
5.16.4 Determine the capacitance of each of the capacitors
in Fig. 5.16.6. Consider Ɛr1 = 4, Ɛr2 =6, d = 2
mm, S = 20 cm2.

[Ans.: 42.5 pF, 44.27 pF]
Review Questions
1. Deduce an expression for the capacitance of parallel plate
capacitor having two dielectric media.
AU : May-10, 16, Marks 10, Dec.-13, Marks 16
2. Discuss in detail, the electric field in multiple
dielectrics.
AU : Dec.-17, Marks 6
Electromagnetic Theory: Unit II: (b) Conductors, Dielectrics and Capacitance : Tag: : - Composite Parallel Plate Capacitor (Mixed Dielectrics)
Electromagnetic Theory
EE3301 3rd Semester EEE Dept | 2021 Regulation | 3rd Semester EEE Dept 2021 Regulation