A current of 1 ampere is said to be flowing across the surface when a charge of one coulomb is passing across the surface in one second.
Current and Current Density
•
The current is defined as the rate of flow of charge and is measured in
amperes.
Key
Point : A current of 1 ampere is said to be flowing across
the surface when a charge of one coulomb is passing across the surface in one
second.
•
The current is considered to be the motion of the positive charges. The
conventional current is due to the flow of electrons, which are negatively
charged. Hence the direction of conventional current is assumed to be opposite
to the direction of flow of the electrons.
•
The current which exists in the conductors, due to the drifting of electrons,
under the influence of the applied voltage is called drift current.
•
While in dielectrics, there can be flow of charges, under the influence of the
electric field intensity. Such a current is called the displacement current or
convection current. The current flowing across the capacitor, through the
dielectric separating its plates is an example of the convection current.
•
The analysis of such currents, in the field theory is based on defining a
current density at a point in the field.
•
The current density is a vector quantity associated with the current and
denoted as
.
Key
Point : The current density is defined as the current
passing through the unit surface area, when the surface is held normal to the
direction of the current.
•
The current density is measured in amperes per square metres (A /m2).
•
Consider a surface S and I is the current passing through the surface. The
direction of current is normal to the surface S and hence direction of
is also normal to the surface S.
•
Consider an incremental surface area dS as shown in the Fig. 5.2.1 (a) and
is the unit vector normal to the incremental surface dS.

•
Then the differential current di passing through the differential surface dS is
given by the dot product of the current density vector 

•
But if
is not normal to the differential area
then the
total current is obtained by integrating the incremental current which is dot
product of
over the surface
. This is shown in the Fig. 5.2.1 (b).
Thus in general,

•
Thus if
is in A /m2 and
is in m2 then the current obtained is in
amperes (A). It may be noted that J need not be uniform over S and S need not
be a plane surface.
2. Relation between
and p v
•
The set of charged particles give rise to a charge density ρv in a volume v.
The current density
can be related to the velocity with which the
volume charge density i.e. charged particles in volume v crosses the surface S
at a point. This is shown in the Fig. 5.2.2. The velocity with which the charge
is getting transferred is
m/s. It is a vector quantity.
•
To derive the relation between
and ρv, consider differential volume
ΔV having charge density ρv as

shown in the Fig. 5.2.3. The elementary charge
that volume carries is,
ΔQ
= ρv Δv … (5.2.6)
Let
ΔL is the incremental length while ΔS is the incremental surface area hence
incremental volume is,
Δv
= ΔS ΔL ... (5.2.7)
ΔQ
= ρv ΔS ΔL ... (5.2.8)
•
Let the charge is moving in x direction with velocity
and thus velocity
has only x component vx.
Note
:
Velocity is denoted by small italic letter while the volume is denoted by small
normal letter.
•
In the time interval Δt the element of charge has moved through distance Δx, in
x direction as shown in the Fig. 5.2.3. The direction is normal to the surface
ΔS and hence resultant current can be expressed as,
ΔI
= ΔQ / Δt ... (5.2.9)
But
now, ΔQ = ρv ΔS Δx as the charge
corresponding the length Δx is moved and responsible
for the current.
ΔI
= ρv ΔS (Δx / Δt) ... (5.2.10)

•
Such a current is called convection current and the current density is called
convection current density.
Key
Point : The convection current density is linearly
proportional to the charge density and the velocity with which the charge is
transferred.
Ex.
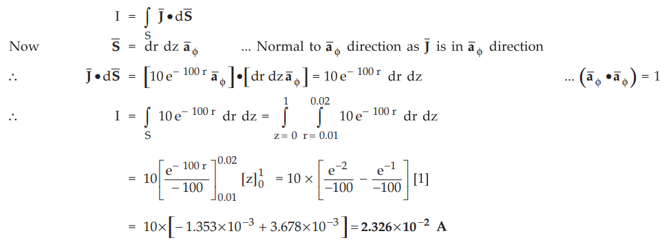
5.2.1 In cylindrical co-ordinates,
Find the current crossing
through the region 0.01 ≤ r ≤ 0.02 and intersection of this region with the ϕ
= constant plane.
Sol.
:
The current is given by integral form of the continuity equation as,

Ex.
5.2.2 If the current density inside a box bounded by five planes, x = 0, y = 0,
y = 2, z = 0 and 3x + z = 3 is
. Find the total current flowing out
of the surfaces of the box.
Sol
. :

Ex.
5.2.3 Find the total current in a circular conductor of radius 4 mm if the
current density varies according to J (104/r) A/m2.
Sol.
: The current is given by,

Examples
for Practice
Ex.
5.2.4 Find the total current in outward
direction from a cube of 1 m, with one comer at the origin and edges parallel
to the co-ordinate axes if 
[Ans.
: 3 A]
Ex.
5.2.5 A current density
in the spherical co-ordinate system. a) How much crrent
flow through the spherical cap r = 3 m, 0 < θ <π/6, 0 < ϕ < 2 π .
b)
The same total current as found in (a) flows through the spherical cap r = 10
m, 0 < ϕ < a, 0 < ϕ > < 2π. What should be the value of a ?
[Ans.:
70.6858 A, 28.47° or 0.4969 rad]
Ex.
5.2.6 If
Calculate the current
passing through a hemisphere shell of radius 20 cm.
[Ans.:
31.416 A]
Ex.
5.2.7 In a cylindrical conductor of radius 2
mm, the current density varies with the distance from the axis according to J =
103 e-400 r A/m2. Find the total current.
[Ans.:
7.5115 mA]
Ex.
5.2.8 Find the current crossing the portion
of y = 0 plane defined by
where
is the current
density.
[Ans.:
4 mA]
Review Questions
1. Derive the relation between I and
.
2. Derive the relation between
and pv.
Electromagnetic Theory: Unit II: (b) Conductors, Dielectrics and Capacitance : Tag: : Solved Example Problems | Electrostatics - Current and Current Density
Electromagnetic Theory
EE3301 3rd Semester EEE Dept | 2021 Regulation | 3rd Semester EEE Dept 2021 Regulation