It is defined as the number of available energy states per unit volume in an energy interval E and E + dE.
DENSITY
OF ENERGY STATES
The
ability of a metal to conduct electricity depends on the number of quantum
states and also the energy levels which are available for the electrons.
Hence,
it is essential to find the energy states which are available for the
occupation of the electrons (charge carriers).
Definition
It is defined as the number of
available energy states per unit volume in an energy interval E and E + dE.
It
is denoted by Z (E). It is given by
Z
(E) dE = Number of energy states in between energy E and E + dE in a metal
piece (N(E) dE) / Volume of the metal piece (V)
Derivation
Let
us consider a cubical metal of side 'a'. In order to find the number of energy
states available in the metal in between energy E and E+dE, a sphere is
considered with three quantum numbers nx, ny, nz as coordinate axes in three-dimensional
space as shown in fig. 2.11.

A
radius vector n is drawn from origin 'O' to a point with co-ordinates nx,
ny, nz in this space. All the points on the surface of
the sphere have the same energy E.
Thus,
n such that n2 = nx2+ny2+nz2
denotes the radius of the sphere corresponding to energy E.
E=
n2h2/ 8ma2
This
sphere is further divided into many shells. Each shell represents a particular
combination of quantum numbers( nx, ny, nz).
Therefore,
a shell denotes a particular energy value E corresponding to a particular
radius n. In this space, unit volume represents one energy state. (Fig. 2.12).

Thus, the volume of the sphere of radius n is equal to the number of energy states upto E.
Therefore,
the number of energy states within a sphere of radius 'n'
=
4/3πn3 (Volume of the sphere)...(1)
Since
the quantum numbers nx, ny, nz can have only positive integer values, only one
octant of the sphere, i.e.,(1/8)th of the spherical volume has to be
considered.
Only
one octant of the sphere has all the quantum numbers nx, ny,
and nz, as positive.
Therefore,
the number of available energy states within one octant of the sphere of radius
'n' corresponding to energy E
=1/8
[4/3πn3]...(2)
Similarly,
the number of available energy states within one octant of the sphere of radius
'n +dn' corresponding to energy E + dE
=1/8
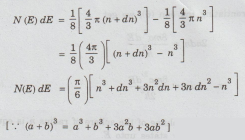
[4/3 π (n + dn)3]...(3)
The
number of available energy states between the shells of radii n and n + dn ie.,
between the energy values E and E+ dE is determined by subtracting equation (2)
from equation (3). Thus, we have

Since
dn is very small, the higher powers dn2 and dn3 are neglected.
N
(E) dE= π/6 3n2 dn
N(E)
DE = π/2 n2 dn
N(E)
dE = π n (ndn)...(4)
We
know that the energy of an electron in a cubical metal piece of sides 'a' is
given by (particle in a three dimensional box problem).

Pauli's exclusion principle states
that two electrons of opposite spins can occupy each state.
Hence, the number of energy states available for electron occupancy is given by

Density of states is given by the
number of energy states per unit volume.
Z(E)
dE = N(E) DE / V .............(12)
on
substituting for N (E) dE and V, we have
Density
of states

[ Volume V = a3]
Z(E)dE
= 4π/h3 (2m)3/2 E1/2 dE...(13)
This is the expression for the
density of states in energy between E and E + dE.
•
It is used to calculate carrier concentration in metals and semiconductors.
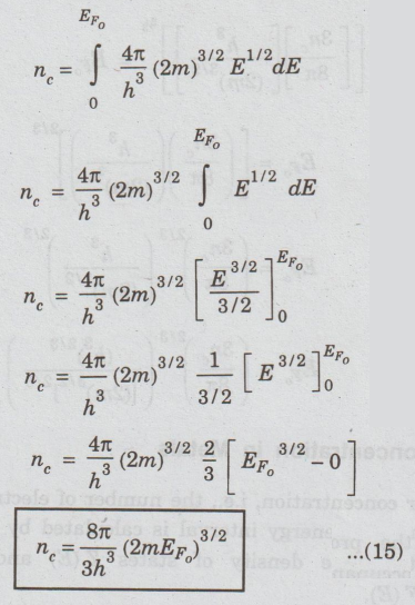
Carrier Concentration in Metals
Carrier
concentration, i.e., the number of electrons per unit volume in a given energy
interval is calculated by summing up the product of the density of states Z (E)
and probability occupancy F (E).
i.e.,
nc = ∫ Z (E) F (E) dE
Substituting
for Z(E) and F(E), we have

For
a metal at absolute zero temperature, the upper most occupied level is EF
and all the levels are completely filled below EF.
F(E) =1
for the energy levels E=0 to E=EF at T=0 K
Now, the equation (14) reduces to

nc=8π/
3h3(2mF0)3/2 ...(15)
The equation (15) is used to
calculate carrier concentration in metals and semiconductors in terms of Fermi
energy.
Expression for Fermi energy

The equation (16) is the expression
for Fermi energy of electrons in solids at absolute zero temperature.
•
It is noted that Fermi energy of a metal
depends only on the density of electrons of metal.
Expression for Fermi Energy at
T > 0 K
Fermi
energy EF at any temperature T in terms of Fermi energy at 0 K is
given by the relation

The
second term within the bracket is very small compared to 1 (but has significant
value at very high temperature). Hence, on neglecting that term, we get
EF
= EF0
Hence, the value of EF can be taken equal to EF0 itself.
Physics for Electrical Engineering: Unit II: a. Electrical Properties of Materials : Tag: : Definition, Formula, Derivation, Equation | Electrical Properties of Materials - Density of energy states
Physics for Electrical Engineering
PH3202 2nd Semester 2021 Regulation | 2nd Semester EEE Dept 2021 Regulation