Aliter: Area of the ∆ AOB can also be determined by measuring the lengths OA and OB and the included angle AOB using a Theodolite.
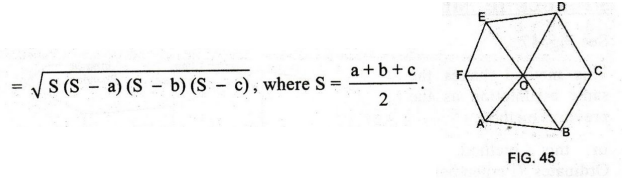
BY DIVIDING THE AREA INTO A NUMBER OF TRIANGLES
See
Fig. 45. The given area is divided into a number of triangles. The area of each
triangle is determined. The sum of the areas of all the triangles within the
figure is the total area.
The
sides of the triangle are measured. If a, b, c are the lengths of the sides of
a triangle, the area of the triangle =

Aliter:
Area of the ∆ AOB can also be determined by measuring the lengths OA and OB and
the included angle AOB using a Theodolite.
i.e.,
Area of ∆ AOB = 1/2 × (Product of two
sides × Sine of included angle)
=
1/2 × (OA × OB) × Sine ∠AOB
Basic Civil & Mechanical Engineering: UNIT II: e. Determination of areas : Tag: : Surveying - Determination of areas by dividing the area into a number of triangles
Basic Civil and Mechanical Engineering
BE3255 2nd Semester 2021 Regulation | 2nd Semester EEE Dept 2021 Regulation