The method of images can be applied for determining the capacitance of this line to take into consideration the effect of earth.
Effect of Earth on Capacitance
of Single Circuit Three Phase Line with Transposition
Consider a three phase single circuit
line with general spacing. The method of images can be applied for determining
the capacitance of this line to take into consideration the effect of earth.
Let us assume that the line is fully transposed. The conductors a, b and c
carry the charges qa, qb and qc respectively and occupy the positions 1, 2 and
3 in the first portion of the transposition cycle while they occupy positions
2, 3 and 1 in the second portion of the transposition cycle and so on. Let a',
b' and c' be images of conductors a, b, c respectively with charges - qa,
- qb and - qc. The transposition cycle is as shown in the
Fig. 1.31.1.

The equations for the three sections of
the transposition cycle can be written for the voltage drop Vab with three
charged conductors and their images.
When phase 'a' is in position 1, 'b' in
position 2 and 'c' in position 3.

When phase 'a' is in position 2, 'b' in
position 3 and 'c' in position 1

The special case of above is the three
conductors which are equilaterally spaced at a distance of d from each other as
shown in the Fig. 1.31.2.

Here, D12
= D23 = D31 = d

Substituting this in the expression for
Can obtained above, the capacitance to neutral of three phase
equilaterally spaced conductors taking into account the effect of earth can be
computed.
Example 1.31.1
Find the capacitance per km per phase to neutral of a three phase line
arranged as shown in the Fig. 1.31.3. The outside diameter of ACSR conductor is
2.50 cm. The line is transposed. Take the effect of ground into consideration.

Solution :
Here the method of images is to be applied for the calculation of capacitance.
Consider the three conductors A, B, C carrying changes qB and qC
respectively. The line is transposed. This is shown in the Fig. 1.31.3 (a).

The plane of the earth is as shown in
the Fig. 1.31.3 (a) below the ground there are image conductors A',B',C'
carrying the charges qA ,qB and qC,
respectively.
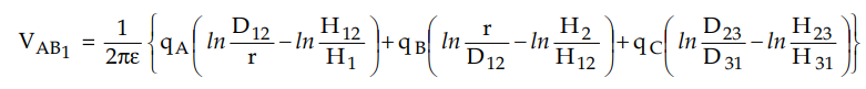
Writing the voltage drop VAB
for a complete transposition cycle. Similar equation can be written for voltage
drop
VAC 311(1 then usinS VAB
+ VAC = 3 VAN the capacitance to neutral value can be obtained.
With conductor A in position 1, B in
position 2, C in position 3 we have,

Similar equations for VAB are
written for the other parts of the transposition cycle.
Simplifying the equations as explained
earlier we get,

Example 1.31.2
Find the capacitance per km per phase of a 3 phase line arranged in a
horizontal plane spaced 8 meters apart. The height of all conductors above the
earth is 13 m. The diameter of each conductor is 2.6 cm. The line is completely
transposed. Take the effect of ground into account.
Solution :
Here the method of images is to be applied for the calculation of capacitance.
Consider the three conductors A, B, C carrying changes qA, qB
and qC respectively. The line is transposed. This is shown in Fig.
1.31.4 (a).

The plane of the earth is as shown in
Fig. 1.31.4 (a). Below the ground there are image conductors A', B', C'
carrying the charges qA', qB' and qC'
respectively.

Writing the voltage drop VAB
for a complete transposition cycle similar equation can be written for voltage
drop VAC then using VAB + VAC = 3 VAN
the capacitance to neutral value can be obtained.
With conductor A in position 1, B in
position 2, C in position 3 we have,

Similar equations for VAB are
written for the other parts of the transposition cycle. Simplifying the
equations as explained earlier we get,

Review Question
1. Derive the expression for the capacitance per phase of a
3-phase overhead transmission line with unsymmetrical spacing of conductors
taking into account the effect of earth. Assume complete transposition. Comment
on the effect of earth on the capacitance 0/ the transmission line.
Transmission and Distribution: Unit I: Transmission Line Parameters : Tag: : - Effect of Earth on Capacitance of Single Circuit Three Phase Line with Transposition
Transmission and Distribution
EE3401 TD 4th Semester EEE Dept | 2021 Regulation | 4th Semester EEE Dept 2021 Regulation