Probability and complex function: Unit V: Differential equations : Exercise 5.3. (b)
Exercise 5.3. (b)
Solve
the following differential equations :
1.
(x + 2)2 d2y / dx2 - (x + 2) dy/dx + y = x + 2
Ans
: (x + 2) [ A log(x + 2) + B ] + ( x + 2) [ log (x + 2)]2 / 2 ]
2.
(1 + 2x)2 d2 y / dx2 -6(1 + 2x)dy/ dx + 16y =
8 (1 + 2x)2
[Ans. y = (1 + 2x)2
log (1 + 2x) [1 + log (1 + 2x)]
3.
(3x + 2) 2y'' + 3(3x + 2) y' - 36y = 8x2 + 4x + 1

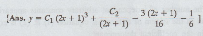
4.
(2x + 1)2 y" - 2 (2x + 1)y' - 12y = 6x + 5

5.
(2x+5)2 y" - 6 (2x+5) y' + 8y = 6x

7.
( x + )3 y’’ + 3 ( x + 1)2 y’ + (x + 1 ) y = 6 log ( x +
1)
[Ans.
y = ( C1z + C2)e-z + e-z z3 , where z = log (
x + 1)
Probability and complex function: Unit V: Ordinary Differential Equations : Tag: : Problems with Answer | Ordinary Differential Equations - Exercise 5.3. (b) Legendre's linear differential equation
Probability and complex function
MA3303 3rd Semester EEE Dept | 2021 Regulation | 3rd Semester EEE Dept 2021 Regulation