Probability and complex function: Unit V: Differential equations : Exercise 5.5
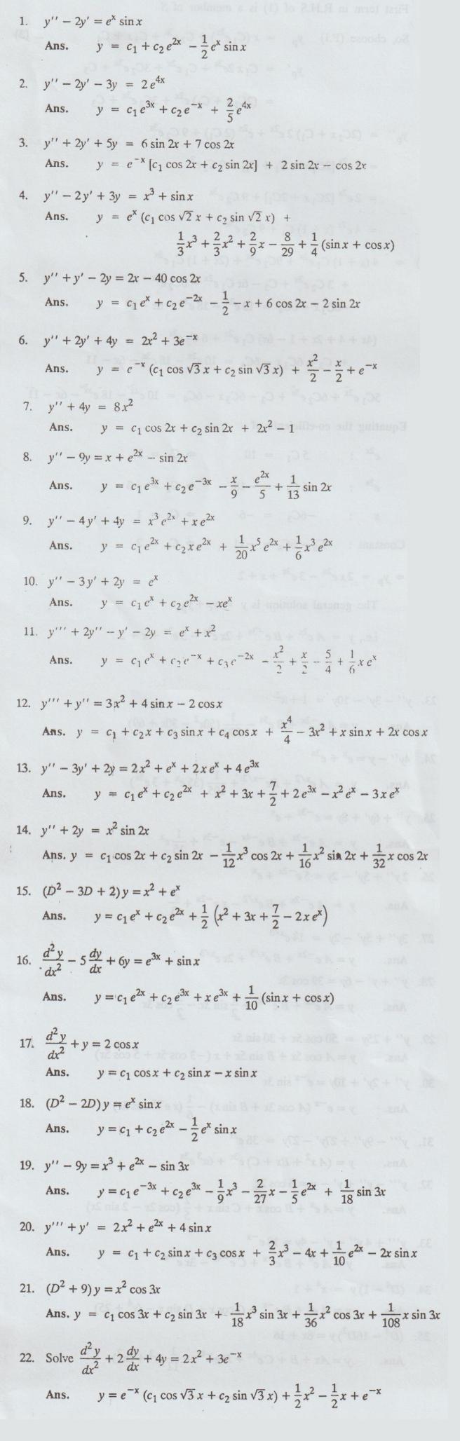
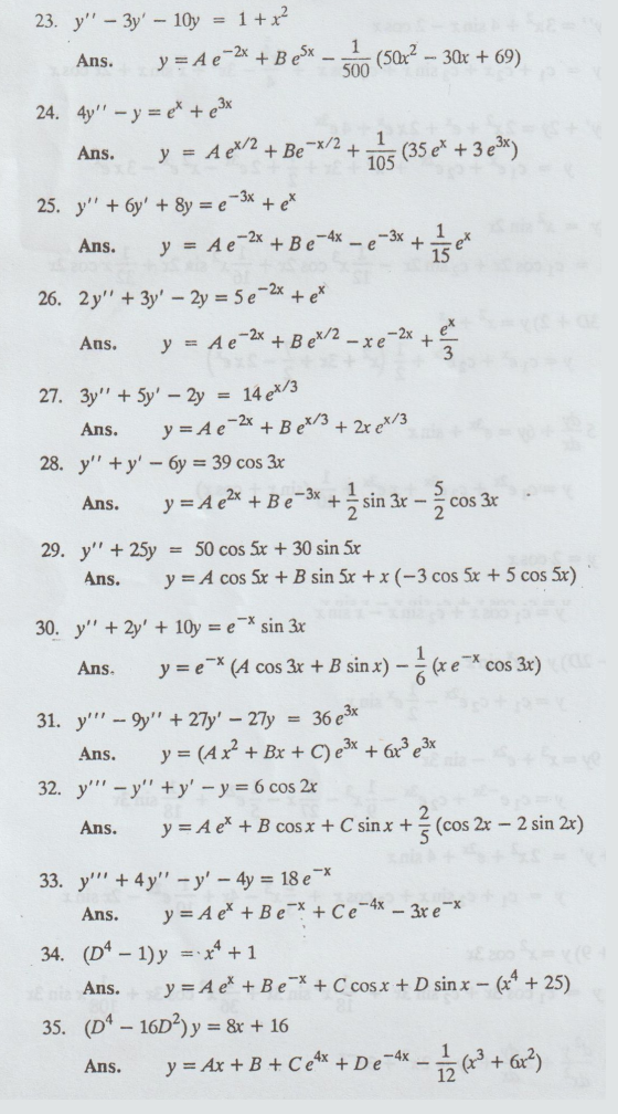
EXERCISE 5.5
Solve
the following by the method of undetermined co-efficients


Probability and complex function: Unit V: Ordinary Differential Equations : Tag: : Problems with Answer | Ordinary Differential Equations - Exercise 5.5 (Method of undetermined coefficients)
Probability and complex function
MA3303 3rd Semester EEE Dept | 2021 Regulation | 3rd Semester EEE Dept 2021 Regulation