For simplicity let us assume that all the strands are identical and share the current equally.
Flux Linkages of One
Conductor in a Group
Consider a composite conductor which is
made up of two or more strands which are in parallel. For simplicity let us
assume that all the strands are identical and share the current equally. The
sum of the currents in all the conductors is zero. Such a group of conductors
is shown in the Fig. 1.13.1.

The conductors 1, 2, 3, ... n carry the
currents I1, I2, I3 ... In Let the
distances of the conductors from a point P be Dlp, D2p , D3p
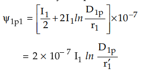
... Dnp respectively. Let ψ1p1 be flux linkages of
conductor I1 due to its own current Ij due to internal and external
flux. The flux beyond point P is excluded.

Now ψ1p2 is the flux linkage
of conductor I2 due to current I2 is equal to flux produced by I2
between the point P and conductor 1. Again flux beyond P is neglected.
ψ1p2 = 2 × 10-7 I2
ln (D2p / D12)
Similarly the flux linkages ψ1p
with conductor 1 due to all the conductors in the group but the flux beyond
point P is neglected.

All the flux linkages of conductor 1 are
included in the above derivation. The above expression is valid only if sum of
the currents is zero.
Transmission and Distribution: Unit I: Transmission Line Parameters : Tag: : - Flux Linkages of One Conductor in a Group
Transmission and Distribution
EE3401 TD 4th Semester EEE Dept | 2021 Regulation | 4th Semester EEE Dept 2021 Regulation