Inductance of a conductor exists due to the flux distribution inside the conductor as well as the the flux distribution outside the conductor. Let us calculate inductance of a conductor due to internal as well as external flux.
Inductance of a Conductor
Inductance of a conductor exists due to
the flux distribution inside the conductor as well as the the flux distribution
outside the conductor. Let us calculate inductance of a conductor due to
internal as well as external flux.
Consider a long, straight conductor with
radius r metres and carrying a current I amperes as shown in the Fig. 1.11.1
(a).

The magnetic field will be established due to this current. The magnetic flux lines will change inside the conductors which will contribute to induced voltage and hence inductance. The magnetic flux lines exist outside the conductor also. We may assume that the return path for the current in this conductor is far away and the magnetic field of the conductor is not affected. The value of inductance due to internal flux is given by the ratio of flux linkages to current by taking into account the fact that each line of internal flux links only a fraction of total current. The exact value of inductance of transmission line is obtained by considering the flux inside each conductor as well as external flux. The lines of flux are concentric with the conductor.
The m.m.f. in ampere turns around any
closed path is equal to the current in amperes enclosed by the path. Thus we
have

Let the magnetic field intensity at a
point x meters from the center of the conductor be Hx. This is
constant at all points as field is symmetrical. Thus integration of ds around
the closed circular path is 2 π x

For the element having thickness dx, the
flux will be product of Bx and the cross-sectional area of the element normal
to the flux lines. This area is dx times axial length. If the axial length
considered is 1 m then the flux per meter
d ϕ = Bx × 1 ×
dx = (µ × I / 2πr2) dx
This flux links with current Ix. Hence
flux linkage per meter length of conductor of length is given by

To find internal flux or the total
linkage inside the conductor we have to carry the integration from the center
of conductor to its outside edge.

Thus we have obtained inductance per
unit length of a round conductor due to flux inside the conductor. Inductance
per unit length is referred as simply inductance for convenience and
simplicity.
Now we shall estimate the flux linkages
of the conductor due to the external flux. For this we will consider the flux
linkages of an isolated conductor due to that portion of the external flux
which lies between two points distant D1 and D2 meters
from centre of conductor P1 and P2 are two such points as
shown in the Fig. 1.11.2.

The conductor shown in the Fig. 1.11.2
carries current I. The flux paths are concentric circles around the conductor
between P1 and P2.
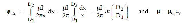
Consider a tubular element which is x
metres from center of conductor. The field intensity at this point is Hx.
The m.m.f. around the element is
2πx x = I
The flux density Bx at this
point is given by

The flux linkages dψ per meter are equal
to dϕ since flux external to the conductor links all the current in the
conductor. The total flux linkage between P1 and P2 are
obtained by integrating dy from D1 to D2

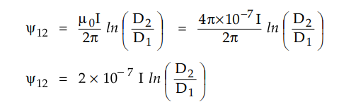
For relative permeability, µr
= 1

The inductance due to flux included
between P1 and P2 only is,

If the external flux is considered to be
extended from the surface of conductor to infinity then total flux linkages is
given by,

Review Question
1. Derive the expression for internal and external flux linkage of
a conductor carrying current I.
AU : Dec.-17, Marks 6
Transmission and Distribution: Unit I: Transmission Line Parameters : Tag: : Internal - External Flux - Inductance of a Conductor
Transmission and Distribution
EE3401 TD 4th Semester EEE Dept | 2021 Regulation | 4th Semester EEE Dept 2021 Regulation