The three phases are interconnected to (i) achieve the economy. (ii) reduce the number of conductors and space. (iii) reduce the complexity of the circuit
INTERCONNECTION OF THE PHASES
The
three phases are interconnected to
(i)
achieve the economy.
(ii)
reduce the number of conductors and space.
(iii)
reduce the complexity of the circuit
There
are two types of interconnection They are
(i)
Star or wye (Y) connection and (ii) Delta (Δ) or Mesh connection.
In
star connection, one set of terminals (either start or end) is connected
together at a cominon point N and the other three terminals are connected to
external load through three conductors called lines. The external load may be
either star connected or delta connected. The point N is called neutral point
or neutral. A wire brought from neutral is called neutral conductor. The three
line conductors and neutral wire provide 3 phase 4 wire system.
Usually
three windings of a 3 phase alternator (A.C. voltage source) are connected in
star. The neutral point is connected to ground.

(a) Line voltage and Phase voltage in star
system
The
voltage across-each coil is called phase voltage denoted by Ep or E. It is also
the voltage between each line and neutral.
ERN,
EYN and EBN are three phase voltages. In a balanced supply system, these
voltages are equal in magnitude and displaced by 120°. (electrical)
|
ERN | = |EYN | = | EBN | = | Eϕ | ... (i)
If
ERN is taken as reference for RYB phase sequence, we can express
ERN
= Eϕ ∠
0° … (ii)
EYN
= Eϕ ∠ - 120° … (iii)
EBN
= Eϕ ∠ 120° … (iv)
The
voltage between any two lines is called line - to line voltage or simply line
voltage denoted by EL. Here ERY, EYB and EBR
are the line voltages.
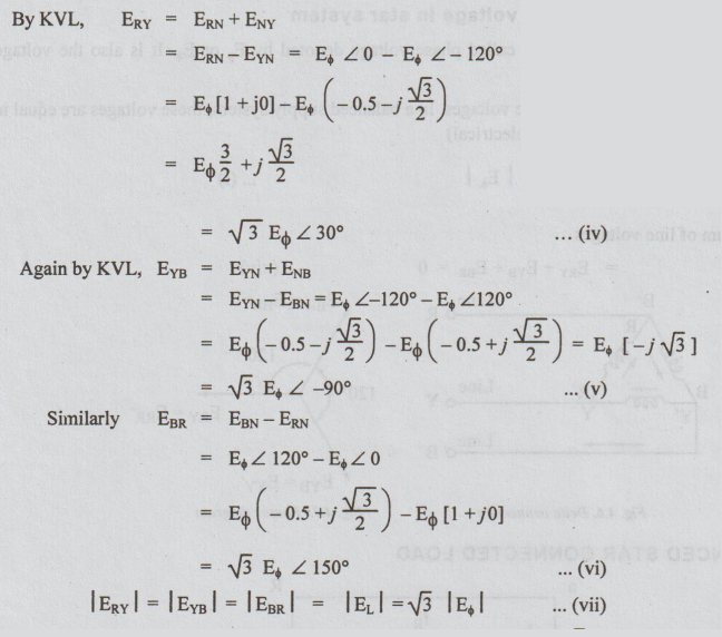
The
phase and line voltages in star connection are shown in Fig. 4.5. The phasor
diagram is shown in Fig.4.5.

It
is seen that in a star system EL ≠ E ϕ.
(b)Relation
between E, and E, in a balanced star connected 3 phase system - Derivation:

Thus
in the star connected alternator, the line voltage is equal to √√3 times phase
voltage. Also the phase difference between the line voltages is 120°.
Note:
(i) The phasor sum of phase voltages is zero.
i.e.,
ERN + EYN + EBN = 0
Similarly
(ii) Phasor sum of line voltages is zero.
i.e.,
ERY + EYB + EBR = 0
If
the three coils are connected such that, the start of one coil is connected to
the finish of the next coil, the result is delta connection. The fig.4.6 shows
a delta connection. Here R' is connected to Y, Y' to B and B' to R. Thus a
closed mesh is formed, hence the name mesh connection. The supply lines in
delta connection are taken from the three junctions as indicated in the
fig.4.7. Thus a delta connection gives 3 phase 3 wire supply system. The phases
are connected between the line terminals. The voltage between any two lines is
the line voltage EL.
Hence,
in a balanced delta connected system

The
phasor sum of line voltages

Electric Circuit Analysis: Unit IV: Three phase circuits : Tag: : 1.Star or Y, 2.Delta or Mesh Connection - Interconnection of the three phases
Electric Circuit Analysis
EE3251 2nd Semester 2021 Regulation | 2nd Semester EEE Dept 2021 Regulation